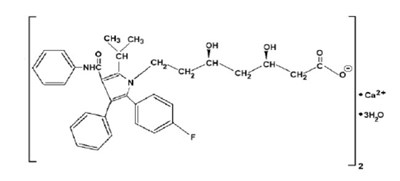
Product Images Atorvastatin Calcium
View Photos of Packaging, Labels & Appearance
Product Label Images
The following 5 images provide visual information about the product associated with Atorvastatin Calcium NDC 68071-2276 by Nucare Pharmaceuticals,inc., such as packaging, labeling, and the appearance of the drug itself. This resource could be helpful for medical professionals, pharmacists, and patients seeking to verify medication information and ensure they have the correct product.
PDP - 68071 2276 9

This is a warning label for the medication Atorvastatin Calcium 80mg manufactured by NuCare Pharmaceuticals, Inc. It contains the NDC number, lot number, and expiration date. The label instructs to keep the medication out of reach of children and to call a doctor for medical advice about side effects. The medication should be stored at a controlled temperature of 68-77°F.*
* The product label images have been analyzed using a combination of traditional computing and machine learning techniques. It should be noted that the descriptions provided may not be entirely accurate as they are experimental in nature. Use the information in this page at your own discretion and risk.