Product Images Enalapril Maleate

View Photos of Packaging, Labels & Appearance

Product Label Images

The following 2 images provide visual information about the product associated with Enalapril Maleate NDC 68071-2430 by Nucare Pharmaceuticals,inc., such as packaging, labeling, and the appearance of the drug itself. This resource could be helpful for medical professionals, pharmacists, and patients seeking to verify medication information and ensure they have the correct product.

PDP - 68071 2430 3

PDP - 68071 2430 3

This is a description of a medication sold by NuCare Pharmaceuticals, called "Enalapril Maleate 10mg". It comes in a bottle with 30 tablets, which should be taken orally to treat high blood pressure. The label provides information on the ingredients, the expiration date, and a warning to keep the medication out of reach of children and store it at a controlled temperature. There is also a product number and a notice that the medication is available only by prescription.*

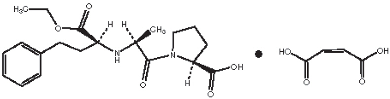
Chemical Structure - enalapril maleate 01

Chemical Structure - enalapril maleate 01

* The product label images have been analyzed using a combination of traditional computing and machine learning techniques. It should be noted that the descriptions provided may not be entirely accurate as they are experimental in nature. Use the information in this page at your own discretion and risk.