Product Images Prednisone

View Photos of Packaging, Labels & Appearance

Product Label Images

The following 2 images provide visual information about the product associated with Prednisone NDC 68071-2509 by Nucare Pharmaceuticals,inc., such as packaging, labeling, and the appearance of the drug itself. This resource could be helpful for medical professionals, pharmacists, and patients seeking to verify medication information and ensure they have the correct product.

PDP - 68071 2509 1

PDP - 68071 2509 1

This appears to be the packaging information for PredniSONE 5mg tablets produced by NuCare Pharmaceuticals. The tablets are white to off-white and scored with "54" above "612" on one side. Each tablet contains 5mg of USP Prednisone. The product is sold in units of 24 tablets, with the NDC code 68071-2509-1. The packaging includes lot numbers, serial numbers, and expiration dates. The label warns to keep the product out of reach of children and to call a doctor for medical advice about side effects. It also provides a phone number to report side effects to the FDA. The product should be stored at a controlled temperature of 68-77°F.*

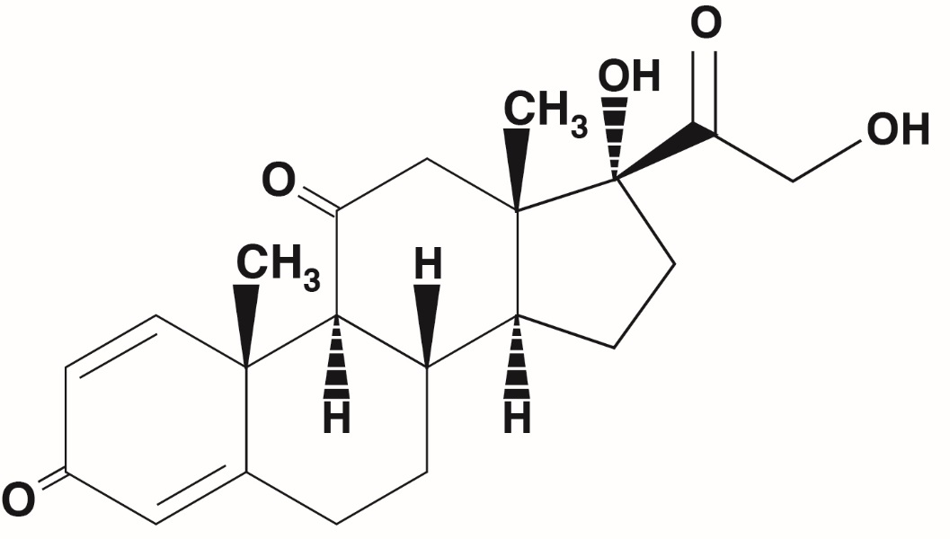
chem-pred.jpg - chem pred

chem-pred.jpg - chem pred

* The product label images have been analyzed using a combination of traditional computing and machine learning techniques. It should be noted that the descriptions provided may not be entirely accurate as they are experimental in nature. Use the information in this page at your own discretion and risk.