Product Images Carvedilol

View Photos of Packaging, Labels & Appearance

Product Label Images

The following 6 images provide visual information about the product associated with Carvedilol NDC 68071-2633 by Nucare Pharmaceuticals,inc., such as packaging, labeling, and the appearance of the drug itself. This resource could be helpful for medical professionals, pharmacists, and patients seeking to verify medication information and ensure they have the correct product.

pdp - 68071 2633 8

pdp - 68071 2633 8

This is a product description of Carvedilol tablets manufactured by NuCare Pharmaceuticals, Inc. The tablets come in a 180 count bottle with each tablet containing 3.125mg of Carvedilol USP. The NDC numbers for the product are 68071-2633-08 and 76385-110-50. They are oval-shaped, white with an imprint '254' on one side and plain on the other side. The tablets should be stored at controlled temperatures of 68-77°F away from children. The users should consult a doctor for medical advice regarding side effects and can report them to FDA at the given number. However, some of the text is indecipherable.*

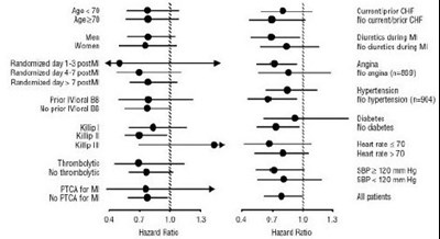
Figure 1 - figure 1

Figure 1 - figure 1

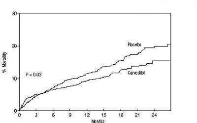
Figure 2 - figure 2

Figure 2 - figure 2

Figure 3 - figure 3

Figure 3 - figure 3

Figure 4 - figure 4

Figure 4 - figure 4

structural formula - structure

structural formula - structure

* The product label images have been analyzed using a combination of traditional computing and machine learning techniques. It should be noted that the descriptions provided may not be entirely accurate as they are experimental in nature. Use the information in this page at your own discretion and risk.