Product Images Doxycycline Hyclate
View Photos of Packaging, Labels & Appearance
Product Label Images
The following 2 images provide visual information about the product associated with Doxycycline Hyclate NDC 68071-2777 by Nucare Pharmaceuticals,inc., such as packaging, labeling, and the appearance of the drug itself. This resource could be helpful for medical professionals, pharmacists, and patients seeking to verify medication information and ensure they have the correct product.
pdp - 68071 2777 4

uCare Pharmaceuticals, Inc. produces Doxycycline Hyclate 100mg capsules, which are USP equivalent to 100mg of Doxycycline. The capsules come in a light blue, opaque color with "HL" and "D76" imprinted on the cap and the body respectively, along with a 14 count. The product is stored at a controlled temperature of 68-77°F and must be kept out of reach of children. The lot number is 00000, and the expiry date is 00-00. The NDC and GTIN codes are 68071-2777-4 and 0036807127746, respectively. Contact 1-800-FDA-1088 in case of any issues.*
Doxycycline hyclate capsules - 8c37b830 b80c 49a8 ab0d 905dd8be71b0 01

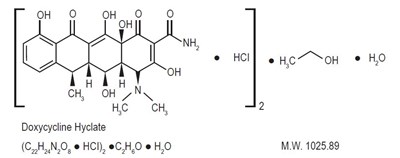
Doxycycline Hyclate is a chemical compound with a molecular formula of C24H29N3O8•HCl and a molecular weight of 1025.89 g/mol.*
* The product label images have been analyzed using a combination of traditional computing and machine learning techniques. It should be noted that the descriptions provided may not be entirely accurate as they are experimental in nature. Use the information in this page at your own discretion and risk.