Product Images Penicillin V Potassium

View Photos of Packaging, Labels & Appearance

Product Label Images

The following 2 images provide visual information about the product associated with Penicillin V Potassium NDC 68071-3176 by Nucare Pharmaceuticals, Inc., such as packaging, labeling, and the appearance of the drug itself. This resource could be helpful for medical professionals, pharmacists, and patients seeking to verify medication information and ensure they have the correct product.

68071 3176 4

68071 3176 4

This is a pharmaceutical product label for Penicillin V Potassium 250mg tablets from NuCare Pharmaceuticals, Inc. It provides information on the product description, dosage, manufacturer details, lot number, expiration date, and warnings such as keeping it out of reach of children and storing at a controlled temperature. It also includes instructions to consult a doctor for medical advice and to report any side effects to FDA at a specified number.*

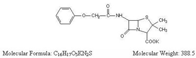
Chemical Structure - penicillin str

Chemical Structure - penicillin str

This text provides information about a compound with a molecular formula of C19H17O5KMgS and a molecular weight of 388.5. The name of the compound may be "QO’CH”LWI’/S".*

* The product label images have been analyzed using a combination of traditional computing and machine learning techniques. It should be noted that the descriptions provided may not be entirely accurate as they are experimental in nature. Use the information in this page at your own discretion and risk.