Product Images Amoxicillin

View Photos of Packaging, Labels & Appearance

Product Label Images

The following 2 images provide visual information about the product associated with Amoxicillin NDC 68071-3235 by Nucare Pharmaceuticals, Inc., such as packaging, labeling, and the appearance of the drug itself. This resource could be helpful for medical professionals, pharmacists, and patients seeking to verify medication information and ensure they have the correct product.

PDP - 68071 3235 03 A177

PDP - 68071 3235 03 A177

This is a product description for Amoxicillin 250mg capsules manufactured by NuCare Pharmaceuticals, Inc. The capsules come in a bottle of 30 capsules with an expiration date of 00-00. Each capsule contains 50mg of Amoxicillin USP as Trinydrate. The product is labeled with the lot number and a specific product number of P0021030, as well as a warning to keep out of reach of children. The store temperature should be controlled within the range of 59-86°F.*

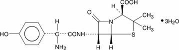
Chemical Structure - amoxicillin str

Chemical Structure - amoxicillin str

* The product label images have been analyzed using a combination of traditional computing and machine learning techniques. It should be noted that the descriptions provided may not be entirely accurate as they are experimental in nature. Use the information in this page at your own discretion and risk.