Product Images Sildenafil
View Photos of Packaging, Labels & Appearance
- pdp - 68071 3745 6
- Figure 1 - sildenafil fig1
- Figure 2 - sildenafil fig2
- Figure 3 - sildenafil fig3
- Figure 4 - sildenafil fig4
- Figure 5 - sildenafil fig5
- Figure 6. Effect of Sildenafil and Placebo on Maintenance of Erection by Baseline Score - sildenafil fig6
- sildenafile fig 7 - sildenafil fig7
- structure - sildenafil str
Product Label Images
The following 9 images provide visual information about the product associated with Sildenafil NDC 68071-3745 by Nucare Pharmaceuticals, Inc., such as packaging, labeling, and the appearance of the drug itself. This resource could be helpful for medical professionals, pharmacists, and patients seeking to verify medication information and ensure they have the correct product.
Figure 1 - sildenafil fig1

This text provides information about the change in sitting systolic blood pressure of healthy volunteers after taking 100mg of Sildenafil or a placebo. The measurements were taken both before and after the dose administration.*
Figure 2 - sildenafil fig2

This text provides a graph showing the change in systolic blood pressure (SBP) in mmHg over time post-dose for two treatment groups: one receiving Doxazosin + Placebo and the other receiving Doxazosin + Sildenafil 25 mg. The data in the graph displays the SBP change from baseline at different hours post-dose.*
Figure 4 - sildenafil fig4

This text provides information about a study comparing the effects of Doxazosin + Sildenafil 100 mg versus Doxazosin + Placebo on mean standing systolic blood pressure change from baseline over time after dosing.*
Figure 5 - sildenafil fig5

This is a graph showing the mean sildenafil plasma concentrations in healthy male volunteers over time after the administration of a commercial tablet. The data is displayed at different time points post-dose, ranging from 2 to 24 hours.*
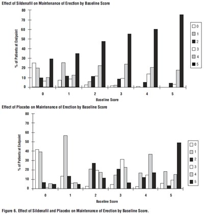
Figure 6. Effect of Sildenafil and Placebo on Maintenance of Erection by Baseline Score - sildenafil fig6

* The product label images have been analyzed using a combination of traditional computing and machine learning techniques. It should be noted that the descriptions provided may not be entirely accurate as they are experimental in nature. Use the information in this page at your own discretion and risk.