Product Images Furosemide
View Photos of Packaging, Labels & Appearance
Product Label Images
The following 2 images provide visual information about the product associated with Furosemide NDC 68071-4349 by Nucare Pharmaceuticals,inc., such as packaging, labeling, and the appearance of the drug itself. This resource could be helpful for medical professionals, pharmacists, and patients seeking to verify medication information and ensure they have the correct product.
68071 4349 9

This is a description for a pharmaceutical product with the name Furosemide. The product has 90 tablets with a strength of 20mg each. It has an oval shape and is either white or off-white in color. Tablets are marked with code 3169 on one side and V on the other. Furosemide is a USP ingredient. The product has a lot number 000000 with an NDC code 68071-4349-09 and MFR NDC code 43547-401-11; the expiration is unspecified. Consumers experiencing side-effects should contact a physician or report to FDA, and the product should be stored at temperatures between 68-77°F.*
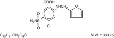
This is an image of the structural formula for furosemide. - furosemide tablets 1

The text provides the molecular formula and molecular weight of a chemical compound, specifically C1oHy1CIN,OsS with a molecular weight of 330.75. No further information is available.*
* The product label images have been analyzed using a combination of traditional computing and machine learning techniques. It should be noted that the descriptions provided may not be entirely accurate as they are experimental in nature. Use the information in this page at your own discretion and risk.