Product Images Metoprolol Succinate

View Photos of Packaging, Labels & Appearance

Product Label Images

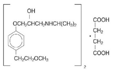
The following 4 images provide visual information about the product associated with Metoprolol Succinate NDC 68071-4363 by Nucare Pharmaceuticals,inc., such as packaging, labeling, and the appearance of the drug itself. This resource could be helpful for medical professionals, pharmacists, and patients seeking to verify medication information and ensure they have the correct product.

68071 4363 09

68071 4363 09

NuCare Pharmaceuticals produces a Metoprolol Succinate 50mg medication in a 7 oz container. This medication comes in different shapes and sizes with different expiration dates and lot numbers. It is recommended to store the medication at a controlled temperature of 59-86°F and keep out of reach of children. In case of side effects, one should call a doctor or report them to the FDA.*

image-01 - image 01

image-01 - image 01

image-02 - image 02

image-02 - image 02

image-03 - image 03

image-03 - image 03

* The product label images have been analyzed using a combination of traditional computing and machine learning techniques. It should be noted that the descriptions provided may not be entirely accurate as they are experimental in nature. Use the information in this page at your own discretion and risk.