Product Images Amoxicillin And Clavulanate Potassium

View Photos of Packaging, Labels & Appearance

Product Label Images

The following 3 images provide visual information about the product associated with Amoxicillin And Clavulanate Potassium NDC 68071-4373 by Nucare Pharmaceuticals,inc., such as packaging, labeling, and the appearance of the drug itself. This resource could be helpful for medical professionals, pharmacists, and patients seeking to verify medication information and ensure they have the correct product.

68071 4373 5

68071 4373 5

Amox./Clavu. Pot. 600mg/42.9mg/5mL oral suspension is a prescription medication used to treat bacterial infections. The medication is available in a 75mL bottle with lot number 000000 and NDC number 68071-4373-05. The expiration date of the product is 00-00. The medication contains amoxicillin and clavulanate potassium and may cause side effects. Contact a doctor if any side effects occur. The medication must be stored between 68-77°F and should be kept out of reach of children.*

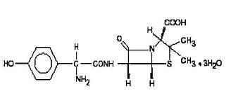
Structural formula for amoxicillin - image 01

Structural formula for amoxicillin - image 01

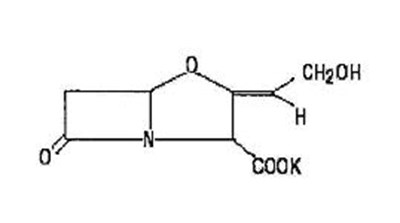
structural formula for clavulanic acid - image 02

structural formula for clavulanic acid - image 02

* The product label images have been analyzed using a combination of traditional computing and machine learning techniques. It should be noted that the descriptions provided may not be entirely accurate as they are experimental in nature. Use the information in this page at your own discretion and risk.