Product Images Amlodipine And Benazepril Hydrochloride

View Photos of Packaging, Labels & Appearance

Product Label Images

The following 3 images provide visual information about the product associated with Amlodipine And Benazepril Hydrochloride NDC 68071-4524 by Nucare Pharmaceuticals,inc., such as packaging, labeling, and the appearance of the drug itself. This resource could be helpful for medical professionals, pharmacists, and patients seeking to verify medication information and ensure they have the correct product.

68071 4524 9

68071 4524 9

The text is a mixture of warning and product description by NuCare Pharmaceuticals. The product described is Amlodipine 5mg/Benazepril HCl 20mg contained in a capsule, available in a cylindrical container with #90 Capsules. Each capsule contains Amiodipine Besylate USP equivalent to Amlodipine Smg and Benazepril Hydrochloride USP 20mg. The container label includes a product number (P1897090), lot (000000), and serial number (00000000002), and an expiration date. The text also includes a manufacturer number (MFR NDC) and the NDC of the product (68071-4524-9). Storage temperature advised is between 68-77°F. It also warns to keep it away from the reach of children and recommends calling a doctor for any side effects.*

Amlodipine Besylate Chemical Structure - amlobenaz str1

Amlodipine Besylate Chemical Structure - amlobenaz str1

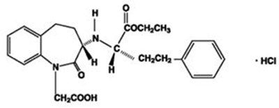
Benazepril Hydrochloride Chemical Structure - amlobenaz str2

Benazepril Hydrochloride Chemical Structure - amlobenaz str2

* The product label images have been analyzed using a combination of traditional computing and machine learning techniques. It should be noted that the descriptions provided may not be entirely accurate as they are experimental in nature. Use the information in this page at your own discretion and risk.