Product Images Amoxicillin

View Photos of Packaging, Labels & Appearance

Product Label Images

The following 3 images provide visual information about the product associated with Amoxicillin NDC 68071-4741 by Nucare Pharmaceuticals,inc., such as packaging, labeling, and the appearance of the drug itself. This resource could be helpful for medical professionals, pharmacists, and patients seeking to verify medication information and ensure they have the correct product.

00093310701

00093310701

68071 4741 3

68071 4741 3

NuCare Pharmaceuticals, Inc. provides Amoxicillin capsules containing 250mg Trinydrate equivalent. It comes with an MFR NDC 0093-3107-05 and GTIN 00368071474138. Each package contains 30 capsules with Lot: 000000 and NDC 68071-4741-03. The expiry date of the product is 00-00. The medicine is suitable for adults and children, but it should be kept out of reach of children and stored at a controlled temperature of 68-77°F. In case of any medical emergency, contact your doctor or call 1-800-FDA-1088.*

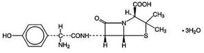
Chemical Structure - amoxicillin capsule amoxicillin powder for susp am 1

Chemical Structure - amoxicillin capsule amoxicillin powder for susp am 1

* The product label images have been analyzed using a combination of traditional computing and machine learning techniques. It should be noted that the descriptions provided may not be entirely accurate as they are experimental in nature. Use the information in this page at your own discretion and risk.