Product Images Amoxicillin And Clavulanate Potassium

View Photos of Packaging, Labels & Appearance

Product Label Images

The following 3 images provide visual information about the product associated with Amoxicillin And Clavulanate Potassium NDC 68071-5216 by Nucare Pharmaceuticals,inc., such as packaging, labeling, and the appearance of the drug itself. This resource could be helpful for medical professionals, pharmacists, and patients seeking to verify medication information and ensure they have the correct product.

PDP - 68071 5216 1

PDP - 68071 5216 1

The text appears to be a label of a pharmaceutical product manufactured by NuCare Pharmaceuticals, Inc. It is an oral suspension of Amoxicillin and Clavulanate Potassium with a concentration of 200mg/28.5mg/5mL. The National Drug Code (NDC) of the product is 0781610246. The label includes information such as the manufacturer, ingredients, lot and product number, expiration date, and caution to keep the product out of reach of children and store it at a controlled temperature of 68-77°F.*

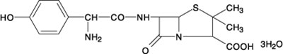
amoxicillin-chemical-structure - amoxclav 01

amoxicillin-chemical-structure - amoxclav 01

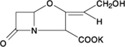
clavulanate-chemical-structure - amoxclav 02

clavulanate-chemical-structure - amoxclav 02

* The product label images have been analyzed using a combination of traditional computing and machine learning techniques. It should be noted that the descriptions provided may not be entirely accurate as they are experimental in nature. Use the information in this page at your own discretion and risk.