Product Images Carbidopa And Levodopa

View Photos of Packaging, Labels & Appearance

Product Label Images

The following 10 images provide visual information about the product associated with Carbidopa And Levodopa NDC 68084-094 by American Health Packaging, such as packaging, labeling, and the appearance of the drug itself. This resource could be helpful for medical professionals, pharmacists, and patients seeking to verify medication information and ensure they have the correct product.

25 100 mg Blister

25 100 mg Blister

This is a prescription drug label for Carbidopa and Levodopa tablets. The label indicates dosages of 25mg/100mg of Gartidopa and Levodopa as well as Gaeidopa and Levocepa. The label also has a batch number and expiry date.*

25 100 mg Carton

25 100 mg Carton

This is a product description for Carbidopa and Levodopa tablets, which come in a 100 tablet bottle (10 x 10). Each tablet has 281mg Carbidopa and 100mg Levodopa. The package contains information about the usual dosage and storage information not to use if the blister has any damage. It is distributed by American Health Packaging, based in Columbus, Ohio. It's an RX only drug.*

25 250 mg Blister

25 250 mg Blister

This is a list of various pharmaceutical tablets containing Carbidopa and Levodopa. The tablets come in different quantities of 25mg and 250mg. Different manufacturers are also listed, with varying product codes and batch numbers.*

25 250 mg Carton

25 250 mg Carton

This is a description of Carbidopa and Levodopa Tablets, USP which come in a package size of 100 tablets (10 x 10) and are only available with a prescription. Each tablet contains Exidapar i3 anyerous squnalen 25mg and Lovodoga, USP 550 mg. The recommended dosage is mentioned in the package insert for prescribing information. The tablets must be stored at a temperature between 20° and 77°F, with excursions permitted between T5°15 30°C. It is important to protect the package from light and keep all drugs out of reach of children. The drug product is contained in a package produced by Tova Pharmaceuticals USA, Inc. and distributed by American Editing Packaging, Columbus, Ohio. The numerical codes at the end of the text are not relevant for the description.*

AHP09301

AHP09301

AHP09401

AHP09401

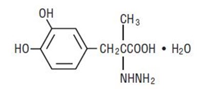
Carbidopa Structure

Carbidopa Structure

Levodopa Structure

Levodopa Structure

This is a chemical formula that includes the molecular structures of HO, OH, CH2CHCOOH, and NH2. It is not clear what compound or substance this formula represents.*

67944b5f-figure-04 - carbidopa and levodopa tablets usp 4

67944b5f-figure-04 - carbidopa and levodopa tablets usp 4

67944b5f-figure-05 - carbidopa and levodopa tablets usp 5

67944b5f-figure-05 - carbidopa and levodopa tablets usp 5

* The product label images have been analyzed using a combination of traditional computing and machine learning techniques. It should be noted that the descriptions provided may not be entirely accurate as they are experimental in nature. Use the information in this page at your own discretion and risk.