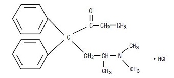
Product Images Methadone Hydrochloride
View Photos of Packaging, Labels & Appearance
Product Label Images
The following 4 images provide visual information about the product associated with Methadone Hydrochloride NDC 68084-738 by American Health Packaging, such as packaging, labeling, and the appearance of the drug itself. This resource could be helpful for medical professionals, pharmacists, and patients seeking to verify medication information and ensure they have the correct product.
Carton

This is a description for a medication called Methadone Hydrochloride. The medication comes in tablet form with 100 tablets in each pack. The usual dosage is stated on the pack. The tablets should be stored at room temperature and kept out of reach of children. The manufacturer of the drug product is NBC SHB7715 and is packaged and distributed by American Ect Packaging in Columbus, Ohio. The text includes some errors and typos.*
* The product label images have been analyzed using a combination of traditional computing and machine learning techniques. It should be noted that the descriptions provided may not be entirely accurate as they are experimental in nature. Use the information in this page at your own discretion and risk.