FDA Label for Lysodren
View Indications, Usage & Precautions
- WARNING: ADRENAL CRISIS IN THE SETTING OF SHOCK, SEVERE TRAUMA OR INFECTION
- 1 INDICATIONS AND USAGE
- 2.1 RECOMMENDED EVALUATION AND TESTING BEFORE INITIATING LYSODREN
- 2.2 GENERAL PRECAUTIONS
- OTHER
- 2.4 DOSAGE MODIFICATIONS FOR ADVERSE REACTIONS
- 4 CONTRAINDICATIONS
- 5 WARNINGS AND PRECAUTIONS
- 5.2 CENTRAL NERVOUS SYSTEM TOXICITY
- 5.3 OVARIAN MACROCYSTS IN PREMENOPAUSAL WOMEN
- 5.4 HEPATOTOXICITY
- 5.5 HEMATOLOGIC TOXICITY
- 5.6 PROLONGED BLEEDING TIME
- 5.7 HORMONE BINDING PROTEIN
- 5.8 EMBRYO-FETAL TOXICITY
- 6 ADVERSE REACTIONS
- 6.1 CLINICAL TRIALS EXPERIENCE
- 8 USE IN SPECIFIC POPULATIONS
- 8.4 PEDIATRIC USE
- 8.5 GERIATRIC USE
- 8.6 HEPATIC IMPAIRMENT
- 8.7 RENAL IMPAIRMENT
- 10 OVERDOSAGE
- 11 DESCRIPTION
- 12.1 MECHANISM OF ACTION
- 12.2 PHARMACODYNAMICS
- 13.1 CARCINOGENESIS, MUTAGENESIS, IMPAIRMENT OF FERTILITY
- 15 REFERENCES
- 16 HOW SUPPLIED/STORAGE AND HANDLING
- STORAGE AND HANDLING
- 17 PATIENT COUNSELING INFORMATION
- SPL MEDGUIDE
- PRINCIPAL DISPLAY PANEL - 100 TABLET BOTTLE CARTON
Lysodren Product Label
The following document was submitted to the FDA by the labeler of this product Esteve Pharmaceuticals, S.a.. The document includes published materials associated whith this product with the essential scientific information about this product as well as other prescribing information. Product labels may durg indications and usage, generic names, contraindications, active ingredients, strength dosage, routes of administration, appearance, warnings, inactive ingredients, etc.
Warning: Adrenal Crisis In The Setting Of Shock, Severe Trauma Or Infection
Patients treated with LYSODREN are at increased risk for developing adrenal crisis in the setting of shock, severe trauma or infection that may lead to death.
If shock, severe trauma or infection occurs or develops, temporarily discontinue LYSODREN and administer exogenous steroids. Monitor patients closely for infections and instruct patients to contact their physician immediately if injury, infection, or any other concomitant illness occurs [see Dosage and Administration (2.3) and Warnings and Precautions (5.1)].
1 Indications And Usage
LYSODREN is indicated for the treatment of patients with inoperable, functional or nonfunctional, adrenocortical carcinoma (ACC).
2.1 Recommended Evaluation And Testing Before Initiating Lysodren
Before initiating LYSODREN, evaluate pelvic ultrasound in premenopausal women, liver functions tests and complete blood count [see Warnings and Precautions (5.3, 5.4, 5.5)].
2.2 General Precautions
LYSODREN is a hazardous drug. Advise caregivers to wear disposable gloves when handling LYSODREN tablets [see References (15)and Storage and Handling (16)].
Other
Recommended Dosage
- The recommended initial dose of LYSODREN is 2000 mg to 6000 mg orally, in three or four divided doses per day.
- Monitor mitotane plasma levels and increase the dose based on patient tolerance and clinical response incrementally to achieve a mitotane plasma level of 14 to 20 mg/L, or as tolerated. Consider monitoring mitotane plasma levels every 2 weeks after starting treatment and after each dose adjustment.
- The target plasma level is usually reached within a period of 3 to 5 months.
- Monitor mitotane plasma levels periodically (e.g., monthly). Severe neurotoxicity may occur with levels > 20 mg/L.
- In case of mitotane plasma levels above 20 mg/L without toxicities, consider reducing the dose by 50 to 75%.
- Monitor mitotane plasma levels regularly (e.g., every two months) after discontinuation of treatment. Due to the prolonged half-life, significant levels may persist for weeks after cessation of therapy.
- LYSODREN is lipophilic and accumulates in adipose tissue. Despite maintaining a constant dose, mitotane levels may suddenly increase. Monitor mitotane plasma levels even when LYSODREN has been withheld as adipose tissue may continue to release mitotane [see Clinical Pharmacology (12.3)] . Due to adipose tissue accumulation of mitotane, close monitoring of mitotane plasma levels is recommended in overweight patients and patients with recent weight loss.
- Swallow LYSODREN tablets whole; do not crush, chew or split.
- Take LYSODREN with food. Timing of the dose relative to meals must be consistent. Administration with high fat food enhances absorption [See Clinical Pharmacology Section (12.3)].
- Do not take tablets showing signs of deterioration.
- Caregivers should wear disposable gloves when handling the tablets. Avoid exposure to crushed and/or broken tablets. If contact with crushed/broken tablets occurs, wash the contaminated skin immediately and thoroughly.
- If a patient misses a dose, instruct the patient to take the next dose as scheduled.
- If a patient vomits after taking a dose, instruct the patient to take the next dose as scheduled.
- Advise patients of the risk of adrenal suppression that may require steroid treatment and interruption or discontinuation of LYSODREN [see Warnings and Precautions (5.1)].
- Advise patients to discontinue LYSODREN in the case of shock, severe trauma or infection and contact their healthcare provider immediately [see Warnings and Precautions (5.1)].
- Advise patients to inform their healthcare provider of any planned surgeries [see Warnings and Precautions (5.1)].
- Advise patients to contact their healthcare provider if they experience new or worsening symptoms of central nervous system (CNS) toxicity including sedation, lethargy and vertigo [see Warnings and Precautions (5.2)].
- Instruct patients not to drive or operate hazardous machinery if they are experiencing CNS adverse reactions [see Warnings and Precautions (5.2)].
- Advise premenopausal women that their healthcare provider will monitor them with routine imaging and to contact their healthcare provider if they experience gynecological symptoms such as vaginal bleeding and/or pelvic pain [see Warnings and Precautions (5.3)] .
- Advise patients that their healthcare provider will monitor them with laboratory tests to monitor liver function and to immediately contact their healthcare provider to report signs and symptoms of hepatotoxicity [see Warnings and Precautions (5.4)].
- Advise patients to immediately contact their healthcare provider for fever, other signs of infection, unusual bruising, bleeding, tiredness or pallor [ see Warnings and Precautions (5.5)].
- Advise patients of the possibility of prolonged bleeding time while taking LYSODREN and of the need to withhold LYSODREN if surgery or dental procedures are needed [see Warnings and Precautions (5.6)].
- Advise patients to inform their healthcare provider of any planned surgeries or dental procedures [see Warnings and Precautions (5.6)].
- Advise patients to contact their healthcare provider for bruising or bleeding [see Warnings and Precautions (5.6)].
- Advise females of reproductive potential of the potential risk to a fetus and to inform their healthcare provider of a known or suspected pregnancy [see Warnings and Precautions (5.8)and Use in Specific Populations (8.1)] .
- Advise females of reproductive potential to use effective nonhormonal contraception during treatment with LYSODREN and after discontinuation of treatment for as long as mitotane plasma levels are detectable, since LYSODREN can render some hormonal contraceptives ineffective [see Drug Interactions (7.2), Use in Specific Populations (8.3)].
- Advise females not to breastfeed during treatment with LYSODREN [see Use in Specific Populations (8.2)] .
- Advise patients and their caregivers to inform their healthcare providers of all concomitant medications, herbal and dietary supplements [see Drug Interactions (7.1, 7.2)].
Dose Adjustments, Monitoring and Discontinuation
Administration
Tablets: 500 mg white, round, biconvex, scored tablets, bisected on one side and impressed with "BL" over "L1" on the other side.
Adrenal Insufficiency
LYSODREN can cause adrenal insufficiency or worsen existing adrenal insufficiency in patients with adrenocortical carcinoma.
Monitor for both glucocorticoid and mineralocorticoid insufficiency and replace systemic corticosteroids accordingly. Due to increased steroid clearance and increase of steroid-binding protein, high-dose replacement therapy may be required and free cortisol and corticotropin (ACTH) should be monitored to adapt the systemic corticosteroids.
Withhold, reduce the dose, or permanently discontinue LYSODREN based on severity [see Dosage and Administration (2.4)].
Adrenal Crisis in the Setting of Shock, Severe Trauma or Infection
LYSODREN can cause adrenal suppression and adrenal crisis in the setting of shock, severe trauma or infection.
Advise patients of the signs and symptoms of adrenal suppression and to contact their healthcare provider immediately if shock, trauma, infection, or adrenal suppression occurs. Withhold LYSODREN before planned surgeries.
Temporarily withhold LYSODREN during shock, trauma, infection or adrenal suppression [see Dosage and Administration (2.4)].
Provide supportive care and administer systemic corticosteroids until recovery.
Spironolactone
Spironolactone may block the action of mitotane. Avoid concomitant use of mitotane with spironolactone [see Clinical Pharmacology (12.3)].
Certain CYP3A substrates
Mitotane is a strong CYP3A inducer. Concomitant use of LYSODREN may decrease the levels of CYP3A substrates, which may reduce the activity of these substrates [see Clinical Pharmacology (12.3)].
Avoid concomitant use of LYSODREN with other CYP3A substrates, where minimal level changes may lead to serious therapeutic failures. If concomitant use cannot be avoided, modify the dosage of the CYP3A substrate in accordance with the approved product labeling.
Hormonal Contraceptives
Avoid concomitant use of LYSODREN with hormonal contraceptives [see Warnings and Precautions (5.8), Use in Specific Populations (8.3)].
Warfarin
Mitotane may induce the metabolism of warfarin, which may reduce its level and its efficacy [see Clinical Pharmacology (12.3)] .
Avoid concomitant use of LYSODREN with warfarin. If concomitant use cannot be avoided, monitor INR more frequently and adjust warfarin dose as recommended in accordance with the recommendations in the warfarin Prescribing Information.
Risk Summary
LYSODREN can cause fetal harm. Limited postmarketing cases report preterm births and early pregnancy loss in women treated with LYSODREN during pregnancy. Animal reproduction studies have not been conducted with mitotane.
Advise pregnant women of the potential risk to a fetus.
In the U.S. general population, the estimated background risk of major birth defects and miscarriage in clinically recognized pregnancies is 2% to 4% and 15% to 20%, respectively.
Risk Summary
Mitotane is excreted in human milk; however, the effect of LYSODREN on the breastfed child, or on milk production is unknown. Because of the potential for serious adverse reactions in a breastfed child, advise women not to breastfeed during treatment with LYSODREN and after discontinuation of treatment for as long as mitotane plasma levels are detectable.
Pregnancy Testing
Verify the pregnancy status of females of reproductive potential prior to initiating LYSODREN [see Use in Specific Populations (8.1)] .
Contraception
LYSODREN can cause fetal harm when administered to a pregnant woman [see Use in Specific Populations (8.1)] .
Females
Advise females of reproductive potential to use effective nonhormonal contraception during treatment with LYSODREN and after discontinuation of therapy for as long as mitotane plasma levels are detectable [see Clinical Pharmacology (12.3)] . LYSODREN can render hormonal contraceptives ineffective [see Drug Interaction (7.2)] .
Absorption
Following oral administration of LYSODREN, 40% of the dose is absorbed.
Effect of Food
The effect of food on the absorption of mitotane (LYSODREN) is not known.
High fat food: Data with various mitotane formulations suggest that administration with high fat food enhances absorption of mitotane.
Distribution
Mitotane is found in most tissues of the body; however, fat is the primary site of distribution.
Elimination
Following discontinuation of mitotane, the plasma terminal half-life ranges from 18 to 159 days (median 53 days).
Metabolism
Mitotane is converted to a water-soluble metabolite. Mitotane metabolism includes hepatic and extrahepatic metabolism. Mitotane is metabolized to 1,1-(o,p'-dichlorodiphenyl) acetic acid (o,p'-DDA), as the major circulating metabolite.
Excretion
No unchanged mitotane is found in urine or bile. Approximately 10% of the administered dose is recovered in the urine as a water-soluble metabolite. A variable amount of metabolite (1%-17%) is excreted in the bile.
Specific Populations
Patients with Hepatic or Renal Impairment
The pharmacokinetics of mitotane have not been studied in patients with hepatic impairment or patients with renal impairment.
Drug Interaction Studies
Effects of Mitotane on Other Drugs
Midazolam:Coadministration of a single dose of midazolam (CYP3A substrate) in patients who received LYSODREN resulted in decreased midazolam concentrations relative to patients who had not received LYSODREN.
Spironolactone: The effect of concomitant spironolactone on the pharmacokinetics of mitotane has not been studied; however, patients exhibited significantly lower mitotane levels compared to those who did not receive concomitant spironolactone despite receiving higher mitotane doses.
Adrenal Insufficiency and Adrenal Crisis
Central Nervous System Toxicity
Ovarian Macrocysts in Premenopausal Women
Hepatotoxicity
Hematologic Toxicity
Prolonged Bleeding Time
Embryo-Fetal Toxicity
Females of Reproductive Potential
Lactation
Drug Interactions
Address medical inquiries to:
Direct Success Inc.
1710 Hwy 34
Farmingdale, NJ 07727
1-844-597-6373
Fax: 1-855-674-6767
Manufactured by:
Latina Pharma S.p.A.
Via Murillo, 7
04013 Sermoneta (Latina)
Italy
For: HRA Pharma Rare Diseases
2.4 Dosage Modifications For Adverse Reactions
The recommended dosage reduction for adverse reactions is to decrease the usual daily dose by 500 – 1000 mg.
Table 1 describes the dosage modifications for specific adverse reactions.
| Adverse Reaction | Severity
Severity defined by National Cancer Institute Common Terminology Criteria for Adverse Events (NCI CTCAE) version 5.0. | Dosage Modification |
|---|---|---|
| Adrenal Crisis and Adrenal Insufficiency [see Warnings and Precautions (5.1)] | All Grades |
|
| Central Nervous System (CNS) Toxicity [see Warnings and Precautions (5.2)] | Grade 2 |
|
| Grade 3 or 4 |
| |
| Gastrointestinal (GI) toxicity | Grade 3 or 4 |
|
| Hepatotoxicity [see Warnings and Precautions (5.4)] | Grade 3 or 4 |
|
| Hematologic Toxicity [see Warnings and Precautions (5.5)] | Grade 2 |
|
| Grade 3 or 4 |
| |
| Other Adverse Reactions [see Adverse Reactions (6.1)] | Grade 2 |
|
| Grade 3 or 4 |
|
4 Contraindications
None.
5 Warnings And Precautions
5.2 Central Nervous System Toxicity
LYSODREN can cause central nervous system toxicity, including sedation, lethargy, and vertigo [see Adverse Reactions (6.1)].
Monitor behavioral and neurologic assessments and mitotane plasma levels at regular intervals. Mitotane plasma levels exceeding 20 mg/L are associated with a greater incidence of toxicity.
In cases of cognitive dysfunction, thyroid function should be evaluated as mitotane may induce hypothyroidism.
LYSODREN can impair the ability to drive and operate machinery. Advise patients not to drive or operate hazardous machinery if they are experiencing CNS adverse reactions. Withhold, reduce the dose, or permanently discontinue LYSODREN based on severity [see Dosage and Administration (2.4)].
5.3 Ovarian Macrocysts In Premenopausal Women
LYSODREN can cause non-malignant, multiple and bilateral ovarian macrocysts in premenopausal women.
Ovarian macrocysts can be symptomatic (e.g., pelvic pain or discomfort, or menstrual irregularities) or asymptomatic.
Complications from these cysts, including adnexal torsion and hemorrhagic cyst rupture, have occurred.
Advise female patients to contact their healthcare provider immediately for gynecological symptoms such as vaginal bleeding and/or pelvic pain [see Adverse Reactions (6.1)].
Monitor pelvic imaging in premenopausal females at baseline and in regular intervals during treatment with LYSODREN.
Withhold, reduce the dose, or permanently discontinue LYSODREN based on severity [see Dosage and Administration (2.4)].
5.4 Hepatotoxicity
LYSODREN can cause hepatoxicity, including liver injury or failure.
Monitor liver function tests prior to starting treatment with LYSODREN, during dose titration, and periodically during treatment as clinically indicated.
Isolated gamma-glutamyl transferase (GGT) elevation may occur.
Withhold, reduce the dose, or permanently discontinue LYSODREN based on severity of hepatoxicity [see Dosage and Administration (2.4)].
5.5 Hematologic Toxicity
LYSODREN can cause leukopenia, anemia and thrombocytopenia [ see Adverse Reactions (6)] . Monitor complete blood counts including neutrophil count prior to starting treatment with LYSODREN, during dose titration, and periodically during treatment as clinically indicated. Withhold, reduce the dose, or permanently discontinue LYSODREN based on severity of cytopenia [see Dosage and Administration (2.4)] .
5.6 Prolonged Bleeding Time
LYSODREN can cause platelet function disorders due to abnormal adenosine diphosphate (ADP)-induced platelet aggregation. Some patients may have a prolonged bleeding time, while others may have a normal bleeding time.
Routine in vitro bleeding time is not suitable to detect this platelet defect and to assess bleeding risk.
Perform ADP-inducted platelet aggregometry testing prior to surgery or dental procedures to determine mitotane-induced bleeding risk. For patients with prolonged bleeding time, withhold or reduce the dose of LYSODREN as clinically indicated.
5.7 Hormone Binding Protein
Mitotane has been shown to increase plasma levels of hormone binding proteins (e.g., sex hormone-binding globulin (SHBG) and corticosteroid-binding globulin (CBG)). This should be taken into account when interpreting the results of hormonal assays and may result in gynecomastia.
5.8 Embryo-Fetal Toxicity
LYSODREN can cause fetal harm when administered to a pregnant woman. Abnormal pregnancy outcomes, such as preterm births and early pregnancy loss, can occur in patients exposed to mitotane during pregnancy. Advise pregnant women of the potential risk to a fetus. Advise females of reproductive potential to use effective nonhormonal contraception, during treatment with LYSODREN and after discontinuation of treatment for as long as mitotane plasma levels are detectable, since LYSODREN can render some hormonal contraceptives ineffective [see Drug Interactions (7.2), Use in Specific Populations (8.1, 8.3)].
6 Adverse Reactions
The following clinically significant adverse reactions are described elsewhere in the labeling:
• Adrenal Insufficiency and Adrenal Crisis [see Warnings and Precautions (5.1)]
• Central Nervous System Toxicity [see Warnings and Precautions (5.2)]
• Ovarian Macrocysts in Premenopausal Women [see Warnings and Precautions (5.3)]
• Hepatotoxicity [see Warnings and Precautions (5.4)]
• Hematologic Toxicity [see Warnings and Precautions (5.5)]
• Prolonged Bleeding Time [see Warnings and Precautions (5.6)]
• Hormone Binding Protein [see Warnings and Precautions (5.7)]
• Embryo-Fetal Toxicity [see Warnings and Precautions (5.8)]
6.1 Clinical Trials Experience
Because clinical trials are conducted under widely varying conditions, adverse reaction rates observed in the clinical trials of a drug cannot be directly compared to rates in the clinical trials of another drug and may not reflect the rates observed in practice.
Reported adverse reactions include:
- Metabolism and nutrition disorders: Anorexia
- Gastrointestinal disorders: Epigastric discomfort, nausea, vomiting, diarrhea, mucosal inflammation, dyspepsia
- Nervous system disorders: Dizziness, vertigo, confusion, headache, ataxia, mental impairment, weakness, dysarthria, paresthesia, polyneuropathy, movement disorder, balance disorder, dysgeusia
- Skin and subcutaneous tissue disorders: Rash, pruritus, hypersensitivity reactions
- Blood and lymphatic system disorders: Leukopenia, anemia, thrombocytopenia, prolonged bleeding time, hematuria, hemorrhagic cystitis
- Endocrine: Growth retardation, hypothyroidism
- Eye disorders: Maculopathy, visual blurring, diplopia, lens opacity, retinopathy
- Hepatobiliary disorders: Hepatitis, elevation of liver enzymes, liver injury (hepatocellular/cholestatic/mixed)
- Reproductive system and breast disorders: Gynecomastia, hypogonadism (in males)
- Investigations: Hypercholesterolemia, hypertriglyceridemia, decreased plasma androstenedione, decreased plasma testosterone in females, increased sex hormone binding globulin in females and males, decreased blood free testosterone in males, hypouricemia
- Musculoskeletal disorders: Muscular weakness, generalized aching
- General disorders: Fever
- Renal and urinary disorders: Albuminuria/proteinuria
- Vascular disorders: Hypertension, orthostatic hypotension, flushing
- Infections: Opportunistic infection
- Respiratory, thoracic and mediastinal disorders: Dyspnoea
8 Use In Specific Populations
8 USE IN SPECIFIC POPULATIONS
8.4 Pediatric Use
Effectiveness in pediatric patients has not been established.
Based on published case reports, mitotane may negatively impact neuro-psychological development (e.g., motor and speech delay, memory impairment) in children and adolescents. In cases of cognitive dysfunction, thyroid function should be evaluated as mitotane may induce hypothyroidism. Other effects of mitotane observed in pediatric patients that are cited in medical literature or in a pharmacovigilance database include growth delay and estrogenic-like effects such as uterine bleeding, breast development in females and gynecomastia in males.
8.5 Geriatric Use
Clinical studies of LYSODREN did not include sufficient numbers of patients aged 65 years and older to determine whether they respond differently than younger patients. Other reported clinical experience has not identified differences in responses between the older and younger patients. In general, dose selection for an older patient should be cautious, usually starting at the low end of the dosing range, reflecting the greater frequency of decreased hepatic, renal, or cardiac function, and of concomitant disease or other drug therapy.
8.6 Hepatic Impairment
Mitotane is metabolized through the liver and mitotane plasma levels may increase if liver function is impaired.
Because of the increased risk of adverse reactions in patients with mild or moderate hepatic impairment, monitor mitotane plasma levels more frequently and modify the dosage as needed [see Dosage and Administration (2.3)]. LYSODREN is not recommended for use in patients with severe hepatic impairment [see Warnings and Precautions (5.4)] .
8.7 Renal Impairment
Mitotane is eliminated through the kidney and mitotane plasma levels may increase if renal function is impaired.
Because of the increased risk of adverse reactions in patients with mild and moderate renal impairment, monitor mitotane plasma levels more frequently and modify the dosage as needed [see Dosage and Administration (2.4)]. LYSODREN is not recommended for use in patients with severe renal impairment.
10 Overdosage
LYSODREN overdosage (plasma levels are above 20 mg/L) can cause central nervous system toxicity, including sedation, lethargy, and vertigo, as well as muscular weakness and gait disturbance. Withhold LYSODREN as clinically indicated for signs or symptoms of toxicity.
LYSODREN is lipophilic and has a prolonged half-life; therefore, it may take weeks for plasma levels to decrease. LYSODREN is not likely to be dialyzable. Increase the frequency of mitotane plasma level monitoring, as clinically indicated.
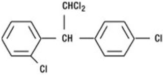
11 Description
LYSODREN (mitotane) is an oral adrenal cytotoxic agent. The chemical name is (±)-1,1-dichloro-2-( o-chlorophenyl)-2-( p-chlorophenyl) ethane (also known as o,p'-DDD). The chemical structure is:
Mitotane is a white granular solid composed of clear colorless crystals. It is tasteless and has a slight pleasant aromatic odor. It is soluble in ethanol and has a molecular weight of 320.05.
Inactive ingredients in LYSODREN are: microcrystalline cellulose, polyethylene glycol 3350, silicon dioxide, and starch.
12.1 Mechanism Of Action
Mitotane is an adrenal cytotoxic agent with an unknown mechanism of action. Mitotane modifies the peripheral metabolism of steroids and directly suppresses the adrenal cortex. A reduction in 17-hydroxycorticosteroids in the absence of decreased corticosteroid levels and increased formation of 6-β-hydroxycortisol have been reported.
12.2 Pharmacodynamics
Mitotane exposure-response relationships and the time course of pharmacodynamic response have not been fully characterized.
13.1 Carcinogenesis, Mutagenesis, Impairment Of Fertility
The carcinogenicity and mutagenicity of mitotane are unknown. Fertility studies have not been conducted with mitotane.
15 References
1. OSHA Hazardous Drugs .http://www.osha.gov/hazardous-drugs/
16 How Supplied/Storage And Handling
LYSODREN tablets are supplied as 500 mg white, round, biconvex, scored tablets, bisected on one side and impressed with "BL" over "L1" on the other side.
- 100 tablets per bottle: NDC 76336-080-60
Storage And Handling
Store bottles at 25°C (77°F); excursions permitted between 15°C and 30°C (59°F-86°F).
Mitotane is a hazardous drug. Follow applicable special handling and disposal procedures [see References (15)] .
17 Patient Counseling Information
17 PATIENT COUNSELING INFORMATION
Advise the patient to read the FDA-approved patient labeling (Medication Guide).
Adrenal Insufficiency and Adrenal Crisis
• Advise patients of the risk of adrenal suppression that may require steroid treatment and interruption or discontinuation of LYSODREN [see Warnings and Precautions (5.1)].
• Advise patients to discontinue LYSODREN in the case of shock, severe trauma or infection and contact their healthcare provider immediately [see Warnings and Precautions (5.1)].
• Advise patients to inform their healthcare provider of any planned surgeries [see Warnings and Precautions (5.1)].
Central Nervous System Toxicity
• Advise patients to contact their healthcare provider if they experience new or worsening symptoms of central nervous system (CNS) toxicity including sedation, lethargy and vertigo [see Warnings and Precautions (5.2)].
• Instruct patients not to drive or operate hazardous machinery if they are experiencing CNS adverse reactions [see Warnings and Precautions (5.2)].
Ovarian Macrocysts in Premenopausal Women
• Advise premenopausal women that their healthcare provider will monitor them with routine imaging and to contact their healthcare provider if they experience gynecological symptoms such as vaginal bleeding and/or pelvic pain [see Warnings and Precautions (5.3)].
Hepatotoxicity
• Advise patients that their healthcare provider will monitor them with laboratory tests to monitor liver function and to immediately contact their healthcare provider to report signs and symptoms of hepatotoxicity [see Warnings and Precautions (5.4)].
Hematologic Toxicity
• Advise patients to immediately contact their healthcare provider for fever, other signs of infection, unusual bruising, bleeding, tiredness or pallor [see Warnings and Precautions (5.5)].
Prolonged Bleeding Time
• Advise patients of the possibility of prolonged bleeding time while taking LYSODREN and of the need to withhold LYSODREN if surgery or dental procedures are needed [see Warnings and Precautions (5.6)].
• Advise patients to inform their healthcare provider of any planned surgeries or dental procedures [see Warnings and Precautions (5.6)].
• Advise patients to contact their healthcare provider for bruising or bleeding [see Warnings and Precautions (5.6)].
Embryo-Fetal Toxicity
• Advise females of reproductive potential of the potential risk to a fetus and to inform their healthcare provider of a known or suspected pregnancy [see Warnings and Precautions (5.8) and Use in Specific Populations (8.1)].
Females of Reproductive Potential
• Advise females of reproductive potential to use effective nonhormonal contraception during treatment with LYSODREN and after discontinuation of treatment for as long as mitotane plasma levels are detectable, since LYSODREN can render some hormonal contraceptives ineffective [see Drug Interactions (7.2), Use in Specific Populations (8.3)].
Lactation
• Advise females not to breastfeed during treatment with LYSODREN [see Use in Specific Populations (8.2)].
Drug Interactions
• Advise patients and their caregivers to inform their healthcare providers of all concomitant medications, herbal and dietary supplements [see Drug Interactions (7.1, 7.2)].
Address medical inquiries to:
Direct Success Inc.
1710 Hwy 34
Farmingdale, NJ 07727
1-844-597-6373
Fax: 1-855-674-6767
Manufactured by:
Latina Pharma S.p.A.
Via Murillo, 7
04013 Sermoneta (Latina)
Italy
For: HRA Pharma Rare Diseases
Advise the patient to read the FDA-approved patient labeling (Medication Guide).
Spl Medguide
MEDICATION GUIDE
LYSODREN® (LY-SO-DREN)
(mitotane)
tablets, for oral use
What is the most important information I should know about LYSODREN?
LYSODREN can cause serious side effects including:
Adrenal Insufficiency and Adrenal Crisis.
Adrenal Insufficiency. LYSODREN can cause your adrenal glands to stop making enough corticosteroid hormones (adrenal insufficiency) or make this problem worse in people with cancer of the adrenal glands (adrenocortical carcinoma). Your healthcare provider may temporarily stop, reduce your dose, or permanently stop treatment with LYSODREN if you develop adrenal insufficiency during treatment.
Adrenal Crisis. LYSODREN can cause your adrenal glands to suddenly stop making enough corticosteroid hormones (adrenal crisis). You are at increased risk for developing adrenal crisis if you experience shock, severe injury, or infection during treatment with LYSODREN. Adrenal crisis may lead to death. Tell your healthcare provider right away if you get an injury, infection, or other illness during treatment with LYSODREN. Your healthcare provider will temporarily stop LYSODREN if shock, severe injury, or infections happen during treatment. Tell your healthcare provider if you have any planned surgery.
Your healthcare provider will check your levels of corticosteroid hormones during treatment and may give you corticosteroid medicine if you develop adrenal gland problems. Tell your healthcare provider right away if you develop any signs or symptoms of adrenal gland problems, including:
severe weakness
confusion
pain in the lower back and legs
stomach (abdominal) pain
nausea, vomiting, or diarrhea
feeling lightheaded or dizzy
passing out
feeling very tired
decreased appetite
weight loss
areas of darkened skin
craving salt
low blood sugar
feeling irritable or depressed
hair loss
See "What are the possible side effects of LYSODREN?" for more information about side effects.
What is LYSODREN?
LYSODREN is a prescription medicine used to treat people with cancer of the adrenal glands (adrenocortical carcinoma) that is functional (when the adrenal glands make more corticosteroid hormone than normal) or nonfunctional (when the adrenal glands make less corticosteroid hormone than normal) and the cancer cannot be removed by surgery.
Effectiveness in pediatric patients has not been established.
Before taking LYSODREN, tell your healthcare provider about all of your medical conditions, including if you:
have an injury, infection or illness
plan to have surgery. Tell your healthcare providers you are taking LYSODREN. You may need to stop taking LYSODREN before any surgery and dental procedures.
have cysts on your ovaries
have liver or kidney problems
have bleeding problems
are pregnant or plan to become pregnant. LYSODREN can harm your unborn baby.
Females who can become pregnant:
Your healthcare provider will do a pregnancy test before you start treatment with LYSODREN.
Use effective birth control (contraception) that does not contain hormones (nonhormonal) such as condoms or diaphragms and spermicide during treatment with LYSODREN and for as long as your healthcare provider tells you to after you stop treatment.
Talk to your healthcare provider about nonhormonal birth control methods that may be right for you.
Birth control methods that contain hormones such as birth control pills, injections, or patches may not work as well during and after treatment with LYSODREN.
Tell your healthcare provider right away if you become pregnant or think you may be pregnant during treatment with LYSODREN.
are breastfeeding or plan to breastfeed. LYSODREN can pass into your breast milk and may harm your baby. Do not breastfeed during treatment and after you stop taking LYSODREN until your healthcare provider tells you it is okay. Talk to your healthcare provider about the best way to feed your baby during and after treatment with LYSODREN.
Tell your healthcare provider about all the medicines you take, including prescription and over-the-counter medicines, vitamins, and herbal supplements. Taking LYSODREN with certain other medicines may affect the way LYSODREN and the other medicines work and may increase your risk of side effects.
Especially tell your healthcare provider if you take:
spironolactone
hormonal birth control
warfarin
midazolam or other CYP3A substrates
Ask your healthcare provider about any other medicine that may not be listed above.
Know the medicines you take. Keep a list of them to show your healthcare provider and pharmacist when you get a new medicine.
How should I take LYSODREN?
Take LYSODREN exactly as your healthcare provider tells you to take it.
Do not change your dose unless your healthcare provider tells you to.
Take your daily dose of LYSODREN in 3 or 4 divided doses each day.
Swallow LYSODREN tablets whole. Do not crush, chew or split the tablets.
Do not take any LYSODREN tablets that are broken or crushed.
Take LYSODREN with food, preferably a high-fat meal or snack. Talk to your healthcare provider about examples of foods you should eat.
Caregivers should wear disposable gloves when handling LYSODREN tablets. You should avoid contact with crushed or broken tablets. If skin contact with crushed or broken tablets happens, thoroughly wash the skin area right away with soap and water.
If you miss a dose of LYSODREN, skip the missed dose and take the next dose at your regularly scheduled time. Do not take 2 doses at the same time to make up for a missed dose.
If you vomit after taking LYSODREN, take the next dose at your regularly scheduled time.
If you take too much LYSODREN, call your healthcare provider right away or go to the nearest emergency room.
What should I avoid while taking LYSODREN?
Do not drive or operate machinery until you know how LYSODREN affects you. LYSODREN may cause sleepiness, decreased energy, and dizziness, which may affect your ability to drive and operate machinery.
What are the possible side effects of LYSODREN?
LYSODREN can cause serious side effects including:
See “What is the most important information I should know about LYSODREN?”
Neurological problems (central nervous system toxicity). LYSODREN can cause decreased awareness and alertness. See “What should I avoid while taking LYSODREN?” Tell your healthcare provider if you develop any of the following signs and symptoms during treatment or if they get worse:
slow thinking
slow movement or decreased coordination
confusion
difficulty concentrating
memory loss
trouble talking
sleepiness
dizziness
feelings of pins and needles in your hands and feet
feeling very tired
Your healthcare provider may test your blood to make sure your thyroid is producing enough thyroid hormone and to check the mitotane level if you develop any of these signs and symptoms during treatment.
Ovarian cysts in premenopausal women. LYSODREN can cause noncancerous large cysts (macrocysts) on the ovaries of women who have not gone through menopause or just starting menopause (premenopausal). The cysts may cause pain or discomfort in your pelvic area and abnormal periods (menstruation), or they may not cause any symptoms at all. If you are premenopausal, your healthcare provider will do an ultrasound of your ovaries before starting LYSODREN and as needed during treatment. Tell your healthcare provider right away if you develop vaginal bleeding or pelvic pain.
Liver problems. LYSODREN can cause liver problems, including liver injury or liver failure. Tell your healthcare provider right away if you develop any signs and symptoms of liver problems during LYSODREN treatment, including:
yellowing of your skin or the white part of your eyes
dark colored (tea colored) urine
pain in your right upper stomach-area (abdomen)
itching
loss of appetite
nausea, vomiting or diarrhea
bleeding or bruising
tiredness
Low blood cell counts. LYSODREN can cause decreased blood cell counts including decreases in white blood cells, platelets, and red blood cells. This may increase your risk of infection, bleeding, and anemia. Tell your healthcare provider right away if you develop any signs or symptoms of low blood cell counts, including:
fever
trouble breathing
unusual bruising or bleeding
dizziness or lightheadedness
tiredness
pale skin or lightness of skin color
Prolonged bleeding time. LYSODREN can cause bleeding that lasts longer than usual. If you need to have surgery or dental procedures during treatment with LYSODREN, your healthcare provider will do blood tests to check for prolonged bleeding risks. Tell your healthcare provider right away if you develop signs or symptoms of prolonged bleeding during treatment with LYSODREN, including:
unusual bleeding or bleeding that will not stop
bruising
lightheadedness
vomiting blood or your vomit looks like coffee grinds
blood in your stool or black stool that looks like tar
pink or brown urine
coughing up blood or blood clots
menstrual bleeding that is heavier than normal
nose bleeds that happen often
Changes in hormone levels. LYSODREN may cause changes in certain hormone levels in your blood. If you are male, your breasts may swell or become larger during treatment.
Your healthcare provider will do blood tests before you start treatment with LYSODREN, during your treatment, and after you stop treatment with LYSODREN to check mitotane levels in your body and to check for side effects.
Your healthcare provider may change your dose, temporarily stop, or permanently stop treatment with LYSODREN if you develop certain side effects.
The most common side effects of LYSODREN include:
eating disorders (anorexia)
upper stomach area (abdominal) discomfort
nausea
vomiting
diarrhea
depression
dizziness or lightheadedness
rash
high cholesterol
increase of triglycerides (fat in blood)
decreased thyroid hormones
decreased testosterone (in males)
These are not all of the possible side effects of LYSODREN.
Call your doctor for medical advice about side effects. You may report side effects to FDA at 1-800-FDA-1088.
You may also report side effects to Direct Success Inc. at 1-844-597-6373.
How should I store LYSODREN?
Store LYSODREN at 77°F (25°C).
Keep LYSODREN and all medicines out of the reach of children.
General information about the safe and effective use of LYSODREN.
Medicines are sometimes prescribed for purposes other than those listed in a Medication Guide. Do not use LYSODREN for a condition for which it was not prescribed. Do not give LYSODREN to other people, even if they have the same symptoms that you have. It may harm them. You can ask your pharmacist or healthcare provider for information about LYSODREN that is written for health professionals.
What are the ingredients in LYSODREN?
Active ingredient: mitotane
Inactive ingredients: microcrystalline cellulose, polyethylene glycol 3350, silicon dioxide, and starch.
Manufactured by: Latina Pharma S.p.A., Via Murillo, 7, 04013 Sermoneta (Latina), Italy; Manufactured for HRA Pharma Rare Diseases.
For more information, go to www.lysodren.com or call 1-844-597-6373.
This Medication Guide has been approved by the U.S. Food and Drug Administration. Revised: 04/2025
Principal Display Panel - 100 Tablet Bottle Carton
NDC 76336-080-60
LYSODREN
(mitotane) tablets, for oral use
EACH TABLET CONTAINS
500 mg
100 Tablets
Rx only
HRA Pharma
Rare Diseases
* Please review the disclaimer below.

