Product Images Strattera

View Photos of Packaging, Labels & Appearance

Product Label Images

The following 3 images provide visual information about the product associated with Strattera NDC 68151-4487 by Carilion Materials Management, such as packaging, labeling, and the appearance of the drug itself. This resource could be helpful for medical professionals, pharmacists, and patients seeking to verify medication information and ensure they have the correct product.

Label Image - 68151 4487

Label Image - 68151 4487

This appears to be the label of a medicine capsule called Atomoxe, which contains Atomoxetin Hydrochloride. It has a specific lot number of 1445947, and an expiration date of 07/14. The label also indicates a unique identifier of WO10514SN8 and mentions that it is for RX (prescription) use only. Unfortunately, there is not much more information that can be gathered from this text alone.*

Chemical Structure - strattera1

Chemical Structure - strattera1

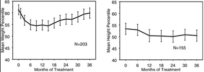
Figure 1 - strattera2

Figure 1 - strattera2

* The product label images have been analyzed using a combination of traditional computing and machine learning techniques. It should be noted that the descriptions provided may not be entirely accurate as they are experimental in nature. Use the information in this page at your own discretion and risk.