FDA Label for Cefazolin
View Indications, Usage & Precautions
- OTHER
- DESCRIPTION
- CLINICAL PHARMACOLOGY
- MICROBIOLOGY
- DIFFUSION TECHNIQUES
- DILUTION TECHNIQUES
- INDICATIONS AND USAGE
- CONTRAINDICATIONS
- WARNINGS
- GENERAL
- DRUG INTERACTIONS
- DRUG/LABORATORY TEST INTERACTIONS
- INFORMATION FOR PATIENTS
- CARCINOGENESIS/MUTAGENESIS
- TERATOGENIC EFFECTS
- LABOR AND DELIVERY
- NURSING MOTHERS
- PEDIATRIC USE
- GERIATRIC USE
- ADVERSE REACTIONS
- ALTERED LABORATORY TESTS
- USUAL ADULT DOSAGE
- PERIOPERATIVE PROPHYLACTIC USE
- DOSAGE ADJUSTMENT FOR PATIENTS WITH REDUCED RENAL FUNCTION
- PEDIATRIC DOSAGE
- PREPARATION OF PARENTERAL SOLUTION
- SINGLE-DOSE VIALS
- INTRAMUSCULAR ADMINISTRATION
- INTRAVENOUS ADMINISTRATION
- HOW SUPPLIED
- STORAGE CONDITIONS
- REFERENCES
- PACKAGE LABEL – PRINCIPAL DISPLAY PANEL
Cefazolin Product Label
The following document was submitted to the FDA by the labeler of this product Dispensing Solutions, Inc.. The document includes published materials associated whith this product with the essential scientific information about this product as well as other prescribing information. Product labels may durg indications and usage, generic names, contraindications, active ingredients, strength dosage, routes of administration, appearance, warnings, inactive ingredients, etc.
Other
SAGENT™
Rx Only
To reduce the development of drug-resistant bacteria and maintain the effectiveness of Cefazolin for Injection, USP and other antibacterial drugs, Cefazolin for Injection, USP should be used only to treat or prevent infections that are proven or strongly suspected to be caused by bacteria.
Perioperative Prophylaxis: The prophylactic administration of Cefazolin for Injection, USP preoperatively, intraoperatively, and postoperatively may reduce the incidence of certain postoperative infections in patients undergoing surgical procedures which are classified as contaminated or potentially contaminated (e.g., vaginal hysterectomy and cholecystectomy in high-risk patients such as those older than 70 years, with acute cholecystitis, obstructive jaundice, or common duct bile stones).
The perioperative use of Cefazolin for Injection, USP also may be effective in surgical patients in whom infection at the operative site would present a serious risk (e.g., during open-heart surgery and prosthetic arthroplasty).
The prophylactic administration of Cefazolin for Injection, USP should usually be discontinued within a 24-hour period after the surgical procedure. In surgery where the occurrence of infection may be particularly devastating (e.g., open-heart surgery and prosthetic arthroplasty), the prophylactic administration of Cefazolin for Injection, USP may be continued for 3 to 5 days following the completion of surgery.
If there are signs of infection, specimens for cultures should be obtained for the identification of the causative organism so that appropriate therapy may be instituted.
(See DOSAGE AND ADMINISTRATION.)
To reduce the development of drug-resistant bacteria and maintain the effectiveness of Cefazolin for Injection, USP and other antibacterial drugs, Cefazolin for Injection, USP should be used only to treat or prevent infections that are proven or strongly suspected to be caused by susceptible bacteria. When culture and susceptibility information are available, they should be considered in selecting or modifying antibacterial therapy. In the absence of such data, local epidemiology and susceptibility patterns may contribute to the empiric selection of therapy.
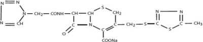
Description
Cefazolin for Injection, USP is a semi-synthetic cephalosporin for parenteral administration. It is the sodium salt of 3-{[(5-methyl-1,3,4-thiadiazol-2-yl)thio]-methyl}-8-oxo-7-[2-(1H-tetrazol-1-yl) acetamido]-5-thia-1-azabicyclo[4.2.0]oct-2-ene-2-carboxylic acid.
Structural Formula:
Each vial contains 48 mg of sodium/1 gram of cefazolin sodium.
Each vial contains cefazolin sodium equivalent to 500 mg or 1 gram cefazolin.
Clinical Pharmacology
After intramuscular administration of cefazolin to normal volunteers, the mean serum concentrations were 37 mcg/mL at 1 hour and 3 mcg/mL at 8 hours following a 500 mg dose, and 64 mcg/mL at 1 hour and 7 mcg/mL at 8 hours following a 1 gram dose.
Studies have shown that following intravenous administration of cefazolin to normal volunteers, mean serum concentrations peaked at approximately 185 mcg/mL and were approximately 4 mcg/mL at 8 hours for a 1 gram dose.
The serum half-life for cefazolin is approximately 1.8 hours following IV administration and approximately 2 hours following IM administration.
In a study (using normal volunteers) of constant intravenous infusion with dosages of 3.5 mg/kg for 1 hour (approximately 250 mg) and 1.5 mg/kg the next 2 hours (approximately 100 mg), cefazolin produced a steady serum level at the third hour of approximately 28 mcg/mL.
Studies in patients hospitalized with infections indicate that cefazolin produces mean peak serum levels approximately equivalent to those seen in normal volunteers.
Bile levels in patients without obstructive biliary disease can reach or exceed serum levels by up to 5 times; however, in patients with obstructive biliary disease, bile levels of cefazolin are considerably lower than serum levels (< 1 mcg/mL).
In synovial fluid, the level of cefazolin becomes comparable to that reached in serum at about 4 hours after drug administration.
Studies of cord blood show prompt transfer of cefazolin across the placenta. Cefazolin is present in very low concentrations in the milk of nursing mothers.
Cefazolin is excreted unchanged in the urine. In the first 6 hours approximately 60% of the drug is excreted in the urine and this increases to 70% to 80% within 24 hours. Cefazolin achieves peak urine concentrations of approximately 2,400 mcg/mL and 4,000 mcg/mL respectively following 500 mg and 1 gram intramuscular doses.
In patients undergoing peritoneal dialysis (2 L/hr.), cefazolin produced mean serum levels of approximately 10 and 30 mcg/mL after 24 hours' instillation of a dialyzing solution containing 50 mg/L and 150 mg/L, respectively. Mean peak levels were 29 mcg/mL (range 13 to 44 mcg/mL) with 50 mg/L (3 patients), and 72 mcg/mL (range 26 to 142 mcg/mL) with 150 mg/L (6 patients). Intraperitoneal administration of cefazolin is usually well tolerated.
Controlled studies on adult normal volunteers, receiving 1 gram 4 times a day for 10 days, monitoring CBC, SGOT, SGPT, bilirubin, alkaline phosphatase, BUN, creatinine, and urinalysis, indicated no clinically significant changes attributed to cefazolin.
Microbiology
In vitro tests demonstrate that the bactericidal action of cephalosporins results from inhibition of cell wall synthesis. Cefazolin has been shown to be active against most strains of the following microorganisms, both in vitro and in clinical infections as described in INDICATIONS AND USAGE.
Gram-Positive Aerobes
Staphylococcus aureus (including beta-lactamase-producing strains)
Staphylococcus epidermidis
Streptococcus pyogenes, Streptococcus agalactiae, and other strains of streptococci
Streptococcus pneumoniae
Methicillin-resistant staphylococci are uniformly resistant to cefazolin, and many strains of enterococci are resistant.
Gram-Negative Aerobes
Escherichia coli
Proteus mirabilis
Most strains of indole positive Proteus (Proteus vulgaris), Enterobacter spp., Morganella morganii, Providencia rettgeri, Serratia spp., and Pseudomonas spp. are resistant to cefazolin.
Diffusion Techniques
Quantitative methods that require measurement of zone diameters provide reproducible estimates of the susceptibility of bacteria to antimicrobial compounds. One such standardized procedure1 that has been recommended for use with disks to test the susceptibility of microorganisms to cefazolin uses the 30 mcg cefazolin disk. Results of the standardized single-disk susceptibility test1 with a 30 mcg cefazolin disk should be interpreted according to the following criteria:
| Zone Diameter (mm) | Interpretation |
| ≥ 18 | Susceptible (S) |
| 15 to 17 | Intermediate (I) |
| ≤ 14 | Resistant (R) |
Standardized single-disk susceptibility test should be performed ONLY with a 30 mcg cefazolin disk.
A report of “Susceptible” indicates that the pathogen is likely to be inhibited by usually achievable concentrations of the antimicrobial compound in the blood. A report of “Intermediate” indicates that the result should be considered equivocal, and, if the microorganism is not fully susceptible to alternative, clinically feasible drugs, the test should be repeated. This category implies possible clinical applicability in body sites where the drug is physiologically concentrated or in situations where high dosage of drug can be used. This category also provides a buffer zone that prevents small uncontrolled technical factors from causing major discrepancies in interpretation. A report of “Resistant” indicates that usually achievable concentrations of the antimicrobial compound in the blood are unlikely to be inhibitory and that other therapy should be selected.
Standardized susceptibility test procedures require the use of laboratory control microorganisms. The 30 mcg cefazolin disk should provide the following zone diameters in these laboratory test quality control strains:
| Microorganism | Zone Diameter (mm) |
| E. coli ATCC 25922 | 21 to 27 |
| S. aureus ATCC 25923 | 29 to 35 |
The cefazolin disk should not be used for testing susceptibility to other cephalosporins.
Dilution Techniques
Quantitative methods that are used to determine minimum inhibitory concentrations provide reproducible estimates of the susceptibility of bacteria to antimicrobial compounds. One such standardized procedure uses a standardized dilution method2 (broth, agar, or microdilution) or equivalent with cefazolin powder. The MIC values obtained should be interpreted according to the following criteria:
| MIC (mcg/mL) | Interpretation |
| ≤ 16 | Susceptible (S) |
| ≥ 64 | Resistant (R) |
Interpretation should be as stated above for results using diffusion techniques.
As with standard diffusion techniques, dilution methods require the use of laboratory control microorganisms. Standard cefazolin powder should provide the following MIC values:
| Microorganism | MIC (mcg/mL) |
| S. aureus ATCC 25923 | 0.25 to 1 |
| E. coli ATCC 25922 | 1 to 4 |
Indications And Usage
Cefazolin for Injection, USP is indicated in the treatment of the following serious infections due to susceptible organisms:
Respiratory Tract Infections: Due to S. pneumoniae, S. aureus (including beta-lactamase-producing strains) and S. pyogenes.
Injectable benzathine penicillin is considered to be the drug of choice in treatment and prevention of streptococcal infections, including the prophylaxis of rheumatic fever.
Cefazolin for Injection, USP is effective in the eradication of streptococci from the nasopharynx; however, data establishing the efficacy of cefazolin in the subsequent prevention of rheumatic fever are not available.
Urinary Tract Infections: Due to E. coli, P. mirabilis.
Skin and Skin Structure Infections: Due to S. aureus (including beta-lactamase-producing strains), S. pyogenes, and other strains of streptococci.
Biliary Tract Infections: Due to E. coli, various strains of streptococci, P. mirabilis, and S. aureus.
Bone and Joint Infections: Due to S. aureus.
Genital Infections: (i.e., prostatitis, epididymitis) due to E. coli, P. mirabilis.
Septicemia: Due to S. pneumoniae, S. aureus (including beta-lactamase-producing strains), P. mirabilis, E. coli.
Endocarditis: Due to S. aureus (including beta-lactamase-producing strains) and S. pyogenes.
Appropriate culture and susceptibility studies should be performed to determine susceptibility of the causative organism to cefazolin.
Contraindications
CEFAZOLIN IS CONTRAINDICATED IN PATIENTS WITH KNOWN ALLERGY TO THE CEPHALOSPORIN GROUP OF ANTIBIOTICS.
Warnings
BEFORE THERAPY WITH CEFAZOLIN IS INSTITUTED, CAREFUL INQUIRY SHOULD BE MADE TO DETERMINE WHETHER THE PATIENT HAS HAD PREVIOUS HYPERSENSITIVITY REACTIONS TO CEFAZOLIN, CEPHALOSPORINS, PENICILLINS, OR OTHER DRUGS. IF THIS PRODUCT IS GIVEN TO PENICILLIN-SENSITIVE PATIENTS, CAUTION SHOULD BE EXERCISED BECAUSE CROSS-HYPERSENSITIVITY AMONG BETA-LACTAM ANTIBIOTICS HAS BEEN CLEARLY DOCUMENTED AND MAY OCCUR IN UP TO 10% OF PATIENTS WITH A HISTORY OF PENICILLIN ALLERGY. IF AN ALLERGIC REACTION TO CEFAZOLIN OCCURS, DISCONTINUE TREATMENT WITH THE DRUG. SERIOUS ACUTE HYPERSENSITIVITY REACTIONS MAY REQUIRE TREATMENT WITH EPINEPHRINE AND OTHER EMERGENCY MEASURES, INCLUDING OXYGEN, IV FLUIDS, IV ANTIHISTAMINES, CORTICOSTEROIDS, PRESSOR AMINES, AND AIRWAY MANAGEMENT, AS CLINICALLY INDICATED.
Clostridium difficile associated diarrhea (CDAD) has been reported with use of nearly all antibacterial agents, including cefazolin, and may range in severity from mild diarrhea to fatal colitis. Treatment with antibacterial agents alters the normal flora of the colon leading to overgrowth of C. difficile.
C. difficile produces toxins A and B which contribute to the development of CDAD. Hypertoxin producing strains of C. difficile cause increased morbidity and mortality, as these infections can be refractory to antimicrobial therapy and may require colectomy. CDAD must be considered in all patients who present with diarrhea following antibiotic use. Careful medical history is necessary since CDAD has been reported to occur over two months after the administration of antibacterial agents.
If CDAD is suspected or confirmed, ongoing antibiotic use not directed against C. difficile may need to be discontinued. Appropriate fluid and electrolyte management, protein supplementation, antibiotic treatment of C. difficile, and surgical evaluation should be instituted as clinically indicated.
General
Prolonged use of cefazolin may result in the overgrowth of nonsusceptible organisms. Careful clinical observation of the patient is essential.
When cefazolin is administered to patients with low urinary output because of impaired renal function, lower daily dosage is required (See DOSAGE AND ADMINISTRATION).
As with other β-lactam antibiotics, seizures may occur if inappropriately high doses are administered to patients with impaired renal function (see DOSAGE AND ADMINISTRATION).
Cefazolin, as with all cephalosporins, should be prescribed with caution in individuals with a history of gastrointestinal disease, particularly colitis.
Cephalosporins may be associated with a fall in prothrombin activity. Those at risk include patients with renal or hepatic impairment or poor nutritional state, as well as patients receiving a protracted course of antimicrobial therapy, and patients previously stabilized on anticoagulant therapy. Prothrombin time should be monitored in patients at risk and exogenous vitamin K administered as indicated.
Prescribing cefazolin in the absence of a proven or strongly suspected bacterial infection or a prophylactic indication is unlikely to provide benefit to the patient and increases the risk of the development of drug-resistant bacteria.
Drug Interactions
Probenecid may decrease renal tubular secretion of cephalosporins when used concurrently, resulting in increased and more prolonged cephalosporin blood levels.
Drug/Laboratory Test Interactions
A false positive reaction for glucose in the urine may occur with Benedict's solution, Fehling's solution or with CLINITEST® tablets, but not with enzyme-based tests, such as CLINISTIX®.
Positive direct and indirect antiglobulin (Coombs') tests have occurred; these may also occur in neonates whose mothers received cephalosporins before delivery.
Information For Patients
Diarrhea is a common problem caused by antibiotics which usually ends when the antibiotic is discontinued. Sometimes after starting treatment with antibiotics, patients can develop watery and bloody stools (with or without stomach cramps and fever) even as late as two or more months after having taken the last dose of the antibiotic. If this occurs, patients should contact their physician as soon as possible.
Patients should be counseled that antibacterial drugs including cefazolin, should only be used to treat bacterial infections. They do not treat viral infections (e.g., the common cold). When cefazolin is prescribed to treat a bacterial infection, patients should be told that although it is common to feel better early in the course of therapy, the medication should be taken exactly as directed. Skipping doses or not completing the full course of therapy may: (1) decrease the effectiveness of the immediate treatment, and (2) increase the likelihood that bacteria will develop resistance and will not be treatable by cefazolin or other antibacterial drugs in the future.
Carcinogenesis/Mutagenesis
Mutagenicity studies and long-term studies in animals to determine the carcinogenic potential of cefazolin have not been performed.
Teratogenic Effects
Teratogenic Effects: Pregnancy Category B. Reproduction studies have been performed in rats, mice, and rabbits at doses up to 25 times the human dose and have revealed no evidence of impaired fertility or harm to the fetus due to cefazolin. There are, however, no adequate and well-controlled studies in pregnant women. Because animal reproduction studies are not always predictive of human response, this drug should be used during pregnancy only if clearly needed.
Labor And Delivery
When cefazolin has been administered prior to caesarean section, drug levels in cord blood have been approximately one quarter to one third of maternal drug levels. The drug appears to have no adverse effect on the fetus.
Nursing Mothers
Cefazolin is present in very low concentrations in the milk of nursing mothers. Caution should be exercised when cefazolin is administered to a nursing woman.
Pediatric Use
Safety and effectiveness for use in premature infants and neonates have not been established. See DOSAGE AND ADMINISTRATION for recommended dosage in pediatric patients older than 1 month.
Geriatric Use
Of the 920 subjects who received cefazolin in clinical studies, 313 (34%) were 65 years and over, while 138 (15%) were 75 years and over. No overall differences in safety or effectiveness were observed between these subjects and younger subjects. Other reported clinical experience has not identified differences in responses between the elderly and younger patients, but greater sensitivity of some older individuals cannot be ruled out.
This drug is known to be substantially excreted by the kidney, and the risk of toxic reactions to this drug may be greater in patients with impaired renal function. Because elderly patients are more likely to have decreased renal function, care should be taken in dose selection, and it may be useful to monitor renal function (see PRECAUTIONS, General and DOSAGE AND ADMINISTRATION).
Adverse Reactions
The following reactions have been reported:
Gastrointestinal
Diarrhea, oral candidiasis (oral thrush), vomiting, nausea, stomach cramps, anorexia, and pseudomembranous colitis. Onset of pseudomembranous colitis symptoms may occur during or after antibiotic treatment (see WARNINGS). Nausea and vomiting have been reported rarely.
Allergic
Anaphylaxis, eosinophilia, itching, drug fever, skin rash, Stevens-Johnson syndrome.
Hematologic
Neutropenia, leukopenia, thrombocytopenia, thrombocythemia.
Hepatic
Transient rise in SGOT, SGPT, and alkaline phosphatase levels has been observed. As with other cephalosporins, reports of hepatitis have been received.
Renal
As with other cephalosporins, reports of increased BUN and creatinine levels, as well as renal failure, have been received.
Local Reactions
Rare instances of phlebitis have been reported at site of injection. Pain at the site of injection after intramuscular administration has occurred infrequently. Some induration has occurred.
Other Reactions
Genital and anal pruritus (including vulvar pruritus, genital moniliasis, and vaginitis).
Cephalosporin-Class Adverse Reactions
In addition to the adverse reactions listed above that have been observed in patients treated with cefazolin, the following adverse reactions and altered laboratory tests have been reported for cephalosporin-class antibiotics:
Allergic reactions, urticaria, serum-sickness-like reaction, erythema multiforme, toxic epidermal necrolysis, colitis, renal dysfunction, toxic nephropathy, abdominal pain, reversible hyperactivity, hypertonia, hepatic dysfunction including cholestasis, aplastic anemia, hemolytic anemia, hemorrhage, and superinfection.
Altered Laboratory Tests
Prolonged prothrombin time, positive direct Coombs' test, false-positive test for urinary glucose, elevated bilirubin, elevated LDH, increased creatinine, pancytopenia, and agranulocytosis.
Several cephalosporins have been implicated in triggering seizures, particularly in patients with renal impairment when the dosage was not reduced (see DOSAGE AND ADMINISTRATION). If seizures associated with drug therapy occur, the drug should be discontinued. Anticonvulsant therapy can be given if clinically indicated.
Usual Adult Dosage
*In rare instances, doses of up to 12 grams of cefazolin per day have been used. | ||
| Type of Infection | Dose | Frequency |
| Moderate to severe infections | 500 mg to 1 gram | every 6 to 8 hours |
| Mild infections caused by susceptible gram-positive cocci | 250 mg to 500 mg | every 8 hours |
| Acute, uncomplicated urinary tract infections | 1 gram | every 12 hours |
| Pneumococcal pneumonia | 500 mg | every 12 hours |
| Severe, life-threatening infections (e.g., endocarditis, septicemia)* | 1 gram to 1.5 grams | every 6 hours |
Perioperative Prophylactic Use
To prevent postoperative infection in contaminated or potentially contaminated surgery, recommended doses are:
- 1 gram IV or IM administered 1/2 hour to 1 hour prior to the start of surgery.
- For lengthy operative procedures (e.g., 2 hours or more), 500 mg to 1 gram IV or IM during surgery (administration modified depending on the duration of the operative procedure).
- 500 mg to 1 gram IV or IM every 6 to 8 hours for 24 hours postoperatively.
It is important that (1) the preoperative dose be given just (1/2 to 1 hour) prior to the start of surgery so that adequate antibiotic levels are present in the serum and tissues at the time of initial surgical incision; and (2) cefazolin for injection be administered, if necessary, at appropriate intervals during surgery to provide sufficient levels of the antibiotic at the anticipated moments of greatest exposure to infective organisms.
In surgery where the occurrence of infection may be particularly devastating (e.g., open-heart surgery and prosthetic arthroplasty), the prophylactic administration of cefazolin for injection may be continued for 3 to 5 days following the completion of surgery.
Dosage Adjustment For Patients With Reduced Renal Function
Cefazolin may be used in patients with reduced renal function with the following dosage adjustments: Patients with a creatinine clearance of 55 mL/min. or greater or a serum creatinine of 1.5 mg % or less can be given full doses. Patients with creatinine clearance rates of 35 to 54 mL/min. or serum creatinine of 1.6 to 3 mg % can also be given full doses but dosage should be restricted to at least 8 hour intervals. Patients with creatinine clearance rates of 11 to 34 mL/min. or serum creatinine of 3.1 to 4.5 mg % should be given 1/2 the usual dose every 12 hours. Patients with creatinine clearance rates of 10 mL/min. or less or serum creatinine of 4.6 mg % or greater should be given 1/2 the usual dose every 18 to 24 hours. All reduced dosage recommendations apply after an initial loading dose appropriate to the severity of the infection. Patients undergoing peritoneal dialysis: See CLINICAL PHARMACOLOGY.
Pediatric Dosage
In pediatric patients, a total daily dosage of 25 to 50 mg/kg (approximately 10 to 20 mg/lb) of body weight, divided into 3 or 4 equal doses, is effective for most mild to moderately severe infections. Total daily dosage may be increased to 100 mg/kg (45 mg/lb) of body weight for severe infections. Since safety for use in premature infants and in neonates has not been established, the use of cefazolin in these patients is not recommended.
| Pediatric Dosage Guide | |||||
Weight | 25 mg/kg/day Divided into 3 Doses | 25 mg/kg/day Divided into 4 Doses | |||
| Lbs | Kg | Approximate Single Dose mg/q8h | Vol. (mL) needed with dilution of 125 mg/mL | Approximate Single Dose mg/q6h | Vol. (mL) needed with dilution of 125 mg/mL |
| 10 | 4.5 | 40 mg | 0.35 mL | 30 mg | 0.25 mL |
| 20 | 9 | 75 mg | 0.6 mL | 55 mg | 0.45 mL |
| 30 | 13.6 | 115 mg | 0.9 mL | 85 mg | 0.7 mL |
| 40 | 18.1 | 150 mg | 1.2 mL | 115 mg | 0.9 mL |
| 50 | 22.7 | 190 mg | 1.5 mL | 140 mg | 1.1 mL |
Weight | 50 mg/kg/day Divided into 3 Doses | 50 mg/kg/day Divided into 4 Doses | |||
| Lbs | Kg | Approximate Single Dose mg/q8h | Vol. (mL) needed with dilution of 225 mg/mL | Approximate Single Dose mg/q6h | Vol. (mL) needed with dilution of 225 mg/mL |
| 10 | 4.5 | 75 mg | 0.35 mL | 55 mg | 0.25 mL |
| 20 | 9 | 150 mg | 0.7 mL | 110 mg | 0.5 mL |
| 30 | 13.6 | 225 mg | 1 mL | 170 mg | 0.75 mL |
| 40 | 18.1 | 300 mg | 1.35 mL | 225 mg | 1 mL |
| 50 | 22.7 | 375 mg | 1.7 mL | 285 mg | 1.25 mL |
In pediatric patients with mild to moderate renal impairment (creatinine clearance of 70 to 40 mL/min.), 60 percent of the normal daily dose given in equally divided doses every 12 hours should be sufficient. In patients with moderate impairment (creatinine clearance of 40 to 20 mL/min.), 25 percent of the normal daily dose given in equally divided doses every 12 hours should be adequate. Pediatric patients with severe renal impairment (creatinine clearance of 20 to 5 mL/min.) may be given 10 percent of the normal daily dose every 24 hours. All dosage recommendations apply after an initial loading dose.
Preparation Of Parenteral Solution
Parenteral drug products should be SHAKEN WELL when reconstituted, and inspected visually for particulate matter prior to administration. If particulate matter is evident in reconstituted fluids, the drug solutions should be discarded.
When reconstituted or diluted according to the instructions below, Cefazolin for Injection is stable for 24 hours at room temperature or for 10 days if stored under refrigeration (5°C or 41°F).
Reconstituted solutions may range in color from pale yellow to yellow without a change in potency.
Single-Dose Vials
For IM injection, IV direct (bolus) injection or IV infusion, reconstitute with Sterile Water for Injection according to the following table. SHAKE WELL.
Vial Size | Amount of Diluent | Approximate Concentration | Approximate Available Volume |
| 500 mg | 2 mL | 225 mg/mL | 2.2 mL |
| 1 g | 2.5 mL | 330 mg/mL | 3 mL |
Intramuscular Administration
Reconstitute vials with Sterile Water for Injection according to the dilution table above. Shake well until dissolved. Cefazolin for Injection should be injected into a large muscle mass. Pain on injection is infrequent with Cefazolin for Injection.
Intravenous Administration
Direct (bolus) injection: Following reconstitution according to the above table, further dilute vials with approximately 5 mL Sterile Water for Injection. Inject the solution slowly over 3 to 5 minutes, directly or through tubing for patients receiving parenteral fluids (see list below).
Intermittent or continuous infusion: Dilute reconstituted Cefazolin for Injection in 50 to 100 mL of 1 of the following solutions:
Sodium Chloride Injection, USP
5% or 10% Dextrose Injection, USP
5% Dextrose in Lactated Ringer's Injection, USP
5% Dextrose and 0.9% Sodium Chloride Injection, USP
5% Dextrose and 0.45% Sodium Chloride Injection, USP
5% Dextrose and 0.2% Sodium Chloride Injection, USP
Lactated Ringer's Injection, USP
Invert Sugar 5% or 10% in Sterile Water for Injection
Ringer's Injection, USP
5% Sodium Bicarbonate Injection, USP
How Supplied
Cefazolin for Injection, USP, equivalent to 500 mg or 1 g cefazolin per vial, is supplied as follows:
| NDC | Cefazolin for Injection, USP | Package Factor |
| 25021-100-10 | 500 mg Single-Dose Vial | 25 vials per carton |
| 25021-101-10 | 1 gram Single-Dose Vial | 25 vials per carton |
As with other cephalosporins, Cefazolin for Injection, USP tends to darken depending on storage conditions; within the stated recommendations, however, product potency is not adversely affected.
Storage Conditions
Before reconstitution store at 20° to 25°C (68° to 77°F). [See USP Controlled Room Temperature.]
Protect from light.
Sterile, Nonpyrogenic, Preservative-free.
The container closure is not made with natural rubber latex.
References
- National Committee for Clinical Laboratory Standards (NCCLS). January 2003. Performance Standards for Antimicrobial Disk Susceptibility Tests; Approved Standard-Eighth Edition. NCCLS Document M2-A8 and Disk Diffusion Supplemental Tables M100-S13. NCCLS, Wayne, PA, USA.
- National Committee for Clinical Laboratory Standards (NCCLS). January 2003. Methods for Dilution Antimicrobial Susceptibility Tests for Bacteria that Grow Aerobically; Approved Standard-Sixth Edition. NCCLS Document M7-A6 and MIC Testing Supplemental Tables, M100-S13. NCCLS, Wayne, PA, USA.
CLINITEST® is a registered trademark of Miles, Inc.
CLINISTIX® is a registered trademark of Bayer Corporation.
SAGENT™
Mfd. for SAGENT Pharmaceuticals
Schaumburg, IL 60195
Made in USA
©2011 Sagent Pharmaceuticals, Inc.
May 2011
Package Label – Principal Display Panel
NDC 68258-8978-02 Rx only
CEFAZOLIN for Injection, USP
1 gram
Equivalent to 1 gram of cefazolin activity
For IM or IV Use
* Please review the disclaimer below.
