Product Images Clindamycin Hydrochloride

View Photos of Packaging, Labels & Appearance

Product Label Images

The following 4 images provide visual information about the product associated with Clindamycin Hydrochloride NDC 68382-236 by Zydus Pharmaceuticals Usa Inc., such as packaging, labeling, and the appearance of the drug itself. This resource could be helpful for medical professionals, pharmacists, and patients seeking to verify medication information and ensure they have the correct product.

50269b4f da7e 480c b410 084be610c13a 01

50269b4f da7e 480c b410 084be610c13a 01

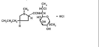
50269b4f da7e 480c b410 084be610c13a 02

50269b4f da7e 480c b410 084be610c13a 02

The text describes a capsule of Clindamycin and Hydrochloride USP with a strength of 75mg. The capsule comes in a pack of 100 and should be stored between 20°C to 25°C. The drug is manufactured by Cadla Healthcare Ltd, located in Ahmedabad, India and distributed by Zydus Pharmaceuticals in the USA. The prescription information should be checked for the usual adult dosage. The text also includes instructions for storage of the capsules and a warning to keep the drug out of the reach of children.*

50269b4f da7e 480c b410 084be610c13a 03

50269b4f da7e 480c b410 084be610c13a 03

This is a drug prescription information for Clindamycin Hydrochloride capsules. It also includes the manufacturer's name and location, as well as the distributor's location. Storage recommendations and a warning to keep the drug out of children's reach are also included.*

50269b4f da7e 480c b410 084be610c13a 04

50269b4f da7e 480c b410 084be610c13a 04

This is a description of Clindamycin Hydrochloride Capsules, USP, a medication manufactured by Cadia Healthcare Ltd in Ahmedabad, India and distributed by Zydus Pharmaceuticals in Pennington, NJ. Each capsule contains 300mg of Clindamycin hydrochloride USP and the usual adult dosage is 300mg every six hours. The medication should be stored at a controlled room temperature of 20°-25°C and dispensed in light-resistant containers as described in the USP. The full prescribing information is included in the package insert, and caution should be taken to keep this and all drugs out of the reach of children. However, there is some unclear text that might potentially make it difficult to read for some people.*

* The product label images have been analyzed using a combination of traditional computing and machine learning techniques. It should be noted that the descriptions provided may not be entirely accurate as they are experimental in nature. Use the information in this page at your own discretion and risk.