FDA Label for Benztropine Mesylate

View Indications, Usage & Precautions

Benztropine Mesylate Product Label

The following document was submitted to the FDA by the labeler of this product Navinta Llc. The document includes published materials associated whith this product with the essential scientific information about this product as well as other prescribing information. Product labels may durg indications and usage, generic names, contraindications, active ingredients, strength dosage, routes of administration, appearance, warnings, inactive ingredients, etc.

Other



Rx Only

Manufactured for:

Navinta LLC

Ewing, NJ 08618, USA

Revised November 2020

30241120 R0


Description



Benztropine mesylate is a synthetic compound containing structural features found in atropine and diphenhydramine.

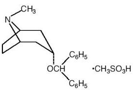
It is designated chemically as 8-azabicyclo[3.2.1] octane, 3-(diphenylmethoxy)-, endo, methanesulfonate. Its empirical formula is C21H25NO•CH4O3S, and its structural formula is:

Benztropine mesylate is a crystalline white powder, very soluble in water, and has a molecular weight of 403.54.

Benztropine mesylate injection, USP is supplied as a sterile injection for intravenous and intramuscular use.

Each milliliter of the injection contains:

Benztropine mesylate USP----------------------------------------------------------------------------------1 mg

Sodium chloride USP----------------------------------------------------------------------------------------9 mg

Water for injection USP q.s.--------------------------------------------------------------------------------1 mL


Actions



Benztropine mesylate injection, USP possesses both anticholinergic and antihistaminic effects, although only the former have been established as therapeutically significant in the management of parkinsonism.

In the isolated guinea pig ileum, the anticholinergic activity of this drug is about equal to that of atropine; however, when administered orally to unanesthetized cats, it is only about half as active as atropine.

In laboratory animals, its antihistaminic activity and duration of action approach those of pyrilamine maleate.


Indications



For use as an adjunct in the therapy of all forms of parkinsonism (see DOSAGE AND ADMINISTRATION).

Useful also in the control of extrapyramidal disorders (except tardive dyskinesia — see PRECAUTIONS) due to neuroleptic drugs (e.g., phenothiazines).


Contraindications



Hypersensitivity to any component of Benztropine mesylate injection, USP.

Because of its atropine-like side effects, this drug is contraindicated in pediatric patients under three years of age, and should be used with caution in older pediatric patients.


Warnings



Safe use in pregnancy has not been established.

Benztropine mesylate injection, USP may impair mental and/or physical abilities required for performance of hazardous tasks, such as operating machinery or driving a motor vehicle.

When Benztropine mesylate injection, USP is given concomitantly with phenothiazines, haloperidol, or other drugs with anticholinergic or antidopaminergic activity, patients should be advised to report gastrointestinal complaints, fever or heat intolerance promptly. Paralytic ileus, hyperthermia and heat stroke, all of which have sometimes been fatal, have occurred in patients taking anticholinergic-type antiparkinsonism drugs, including Benztropine mesylate injection, USP in combination with phenothiazines and/or tricyclic antidepressants.

Since Benztropine mesylate injection, USP contains structural features of atropine, it may produce anhidrosis. For this reason, it should be administered with caution during hot weather, especially when given concomitantly with other atropine-like drugs to the chronically ill, the alcoholic, those who have central nervous system disease, and those who do manual labor in a hot environment. Anhidrosis may occur more readily when some disturbance of sweating already exists. If there is evidence of anhidrosis, the possibility of hyperthermia should be considered. Dosage should be decreased at the discretion of the physician so that the ability to maintain body heat equilibrium by perspiration is not impaired. Severe anhidrosis and fatal hyperthermia have occurred.


Precautions



General: Since Benztropine mesylate injection, USP has cumulative action, continued supervision is advisable. Patients with a tendency to tachycardia and patients with prostatic hypertrophy should be observed closely during treatment.

Dysuria may occur, but rarely becomes a problem. Urinary retention has been reported with Benztropine mesylate injection, USP.

The drug may cause complaints of weakness and inability to move particular muscle groups, especially in large doses. For example, if the neck has been rigid and suddenly relaxes, it may feel weak, causing some concern. In this event, dosage adjustment is required.

Mental confusion and excitement may occur with large doses, or in susceptible patients. Visual hallucinations have been reported occasionally. Furthermore, in the treatment of extrapyramidal disorders due to neuroleptic drugs (e.g., phenothiazines), in patients with mental disorders, occasionally there may be intensification of mental symptoms. In such cases, antiparkinsonian drugs can precipitate a toxic psychosis. Patients with mental disorders should be kept under careful observation, especially at the beginning of treatment or if dosage is increased.

Tardive dyskinesia may appear in some patients on long-term therapy with phenothiazines and related agents, or may occur after therapy with these drugs have been discontinued. Antiparkinsonism agents do not alleviate the symptoms of tardive dyskinesia, and in some instances may aggravate them. Benztropine mesylate injection, USP is not recommended for use in patients with tardive dyskinesia.

The physician should be aware of the possible occurrence of glaucoma. Although the drug does not appear to have any adverse effect on simple glaucoma, it probably should not be used in angle-closure glaucoma.

Drug Interactions: Antipsychotic drugs such as phenothiazines or haloperidol; tricyclic antidepressants (see WARNINGS).

Pediatric Use: Because of the atropine-like side effects, Benztropine mesylate injection, USP should be used with caution in pediatric patients over three years of age (see CONTRAINDICATIONS).

Geriatric Use: Clinical studies of Benztropine mesylate injection, USP did not include sufficient numbers of subjects aged 65 and over to determine whether they respond differently from younger subjects. Other reported clinical experience has not identified differences in responses between the elderly and younger patients. In general, dose selection for an elderly patient should start at the low end of the dosing range (see DOSAGE AND ADMINISTRATION) and the dose should be increased only as needed with monitoring for the emergence of adverse events (see PRECAUTIONS and ADVERSE REACTIONS).


Adverse Reactions



The adverse reactions below, most of which are anticholinergic in nature, have been reported and within each category are listed in order of decreasing severity.

Cardiovascular: Tachycardia.

Digestive: Paralytic ileus, constipation, vomiting, nausea, dry mouth.

If dry mouth is so severe that there is difficulty in swallowing or speaking, or loss of appetite and weight, reduce dosage, or discontinue the drug temporarily.

Slight reduction in dosage may control nausea and still give sufficient relief of symptoms. Vomiting may be controlled by temporary discontinuation, followed by resumption at a lower dosage.

Nervous System: Toxic psychosis, including confusion, disorientation, memory impairment, visual hallucinations; exacerbation of pre-existing psychotic symptoms; nervousness; depression; listlessness; numbness of fingers.

Special Senses: Blurred vision, dilated pupils.

Urogenital: Urinary retention, dysuria.

Metabolic/Immune or Skin: Occasionally, an allergic reaction, e.g., skin rash, develops. If this cannot be controlled by dosage reduction, the medication should be discontinued.

Other: Heat stroke, hyperthermia, fever.

To report SUSPECTED ADVERSE REACTIONS, contact Navinta LLC (USA) at +1-(609)-883-1135 or FDA at 1-800-FDA-1088 or www.fda.gov/medwatch.


Dosage And Administration



Since there is no significant difference in onset of effect after intravenous or intramuscular injection, usually there is no need to use the intravenous route. The drug is quickly effective after either route, with improvement sometimes noticeable a few minutes after injection. In emergency situations, when the condition of the patient is alarming, 1 to 2 mL of the injection normally will provide quick relief. If the parkinsonian effect begins to return, the dose can be repeated.

Because of cumulative action, therapy should be initiated with a low dose which is increased gradually at five or six-day intervals to the smallest amount necessary for optimal relief. Increases should be made in increments of 0.5 mg, to a maximum of 6 mg, or until optimal results are obtained without excessive adverse reactions.

Postencephalitic and Idiopathic Parkinsonism: The following dosing guidelines were written in reference to both benztropine mesylate tablets and Benztropine mesylate injection. Benztropine mesylate tablets should be used when patients are able to take oral medication.

The usual daily dose is 1 to 2 mg, with a range of 0.5 to 6 mg parenterally.

As with any agent used in parkinsonism, dosage must be individualized according to age and weight, and the type of parkinsonism being treated. Generally, older patients, and thin patients cannot tolerate large doses. Most patients with postencephalitic parkinsonism need fairly large doses and tolerate them well. Patients with a poor mental outlook are usually poor candidates for therapy.

In idiopathic parkinsonism, therapy may be initiated with a single daily dose of 0.5 to 1 mg at bedtime. In some patients, this will be adequate; in others 4 to 6 mg a day may be required.

In postencephalitic parkinsonism, therapy may be initiated in most patients with 2 mg a day in one or more doses. In highly sensitive patients, therapy may be initiated with 0.5 mg at bedtime, and increased as necessary.

Some patients experience greatest relief when given the entire dose at bedtime; others react more favorably to divided doses, two to four times a day. Frequently, one dose a day is sufficient, and divided doses may be unnecessary or undesirable.

The long duration of action of this drug makes it particularly suitable for bedtime medication when its effects may last throughout the night, enabling patients to turn in bed during the night more easily, and to rise in the morning.

When Benztropine mesylate injection, USP is started, do not terminate therapy with other antiparkinsonian agents abruptly. If the other agents are to be reduced or discontinued, it must be done gradually. Many patients obtain greatest relief with combination therapy.

Benztropine mesylate injection, USP may be used concomitantly with SINEMET (Ccarbidopa-Levodopalevodopa), or with levodopa, in which case dosage adjustment may be required in order to maintain optimum response.

Drug-Induced Extrapyramidal Disorders: In treating extrapyramidal disorders due to neuroleptic drugs (e.g., phenothiazines), the recommended dosage is 1 to 4 mg once or twice a day parenterally. Dosage must be individualized according to the need of the patient. Some patients require more than recommended; others do not need as much.

In acute dystonic reactions, 1 to 2 mL of the injection usually relieves the condition quickly.

When extrapyramidal disorders develop soon after initiation of treatment with neuroleptic drugs (e.g., phenothiazines), they are likely to be transient. One to 2 mg of Benztropine mesylate injection, USP two or three times a day usually provides relief within one or two days. If such disorders recur, Benztropine mesylate injection, USP can be reinstituted.

Certain drug-induced extrapyramidal disorders that develop slowly may not respond to Benztropine mesylate injection, USP.


Overdosage



Manifestations: May be any of those seen in atropine poisoning or antihistamine overdosage: CNS depression, preceded or followed by stimulation; confusion; nervousness; listlessness; intensification of mental symptoms or toxic psychosis in patients with mental illness being treated with neuroleptic drugs (e.g., phenothiazines); hallucinations (especially visual); dizziness; muscle weakness; ataxia; dry mouth; mydriasis; blurred vision; palpitations; tachycardia; elevated blood pressure; nausea; vomiting; dysuria; numbness of fingers; dysphagia; allergic reactions, e.g., skin rash; headache; hot, dry, flushed skin; delirium; coma; shock; convulsions; respiratory arrest; anhidrosis; hyperthermia; glaucoma; constipation.

Treatment: Physostigmine salicylate, 1 to 2 mg, SC or IV, reportedly will reverse symptoms of anticholinergic intoxication. **A second injection may be given after 2 hours if required. Otherwise treatment is symptomatic and supportive. Maintain respiration. A short-acting barbiturate may be used for CNS excitement, but with caution to avoid subsequent depression; supportive care for depression (avoid convulsant stimulants such as picrotoxin, pentylenetetrazol, or bemegride); artificial respiration for severe respiratory depression; a local miotic for mydriasis and cycloplegia; ice bags or other cold applications and alcohol sponges for hyperpyrexia, a vasopressor and fluids for circulatory collapse. Darken room for photophobia.

**Duvoisin, R.C.; Katz, R.J.; Amer. Med. Ass. 206:1963-1965, Nov. 25, 1968.  


How Supplied



Benztropine mesylate injection, USP, 2 mg per 2 mL (1 mg/mL), is a clear, colorless solution and is supplied as follows:-

(NDC 68475-512-01) 2 mL vial

(NDC 68475-512-02) Carton of 5 X 2 mL vials

Recommended Storage: Store at 20° to 25°C (68 to 77°F). [See USP controlled room temperature].


Package Label.Principal Display Panel



PRINCIPAL DISPLAY PANEL


* Please review the disclaimer below.