FDA Label for Doxycycline
View Indications, Usage & Precautions
- DESCRIPTION
- CLINICAL PHARMACOLOGY
- MICROBIOLOGY
- GRAM-NEGATIVE BACTERIA
- GRAM-POSITIVE BACTERIA
- OTHER MICROORGANISMS
- DILUTION TECHNIQUES
- INDICATIONS AND USAGE
- TREATMENT:
- PROPHYLAXIS:
- CONTRAINDICATIONS
- WARNINGS
- GENERAL
- INFORMATION FOR PATIENTS
- LABORATORY TESTS
- DRUG INTERACTIONS
- DRUG/LABORATORY TEST INTERACTIONS
- CARCINOGENESIS, MUTAGENESIS, IMPAIRMENT OF FERTILITY
- PREGNANCY: TERATOGENIC EFFECTS. PREGNANCY CATEGORY D:
- LABOR AND DELIVERY
- NURSING MOTHERS
- PEDIATRIC USE
- ADVERSE REACTIONS
- OVERDOSAGE
- DOSAGE AND ADMINISTRATION
- HOW SUPPLIED
- ANIMAL PHARMACOLOGY AND ANIMAL TOXICOLOGY
- REFERENCES
- PRINCIPAL DISPLAY PANEL
Doxycycline Product Label
The following document was submitted to the FDA by the labeler of this product Legacy Pharmaceutical Packaging. The document includes published materials associated whith this product with the essential scientific information about this product as well as other prescribing information. Product labels may durg indications and usage, generic names, contraindications, active ingredients, strength dosage, routes of administration, appearance, warnings, inactive ingredients, etc.
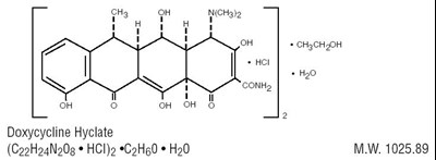
Description
Doxycycline hyclate is a broad-spectrum antibiotic synthetically derived from oxytetracycline. The chemical designation is 4-(Dimethylamino)-1,4,4a,5,5a,6,11,12a-octahydro-3,5,10,12,12a-pentahydroxy-6-methyl-1,11-dioxo-2-naphthacene-carboxamide monohydrochloride, compound with ethyl alcohol (2:1), monohydrate. Doxycycline is a light-yellow crystalline powder. Doxycycline Hyclate is soluble in water.
Doxycycline has a high degree of lipoid solubility and a low affinity for calcium binding. It is highly stable in normal human serum. Doxycycline will not degrade into an epianhydro form.
The structural formula is as follows:
Each tablet for oral administration contains doxycycline hyclate equivalent to 100 mg of doxycycline (anhydrous). Inactive ingredients are: Colloidal Silicon Dioxide, Corn Starch, Croscarmellose Sodium, Docusate Sodium, Magnesium Stearate, and Microcrystalline Cellulose. Film Coating and Polishing contains: FD&C Blue No. 2, FD&C Yellow No. 6, Hydroxypropyl Methylcellulose, Polyethylene Glycol, and Titanium Dioxide.
Clinical Pharmacology
Tetracyclines are readily absorbed and are bound to plasma proteins in varying degree. They are concentrated by the liver in the bile, and excreted in the urine and feces at high concentrations and in a biologically active form. Doxycycline is virtually completely absorbed after oral administration.
Following a 200 mg dose, normal adult volunteers averaged peak serum levels of 2.6 mcg/mL of doxycycline at 2 hours decreasing to 1.45 mcg/mL at 24 hours. Excretion of doxycycline by the kidney is about 40%/72 hours in individuals with normal function (creatinine clearance about 75 mL/min). This percentage excretion may fall as low as 1-5%/72 hours in individuals with severe renal insufficiency (creatinine clearance below 10 mL/min). Studies have shown no significant difference in serum half-life of doxycycline (range 18-22 hours) in individuals with normal and severely impaired renal function.
Hemodialysis does not alter serum half-life.
Results of animal studies indicate that tetracyclines cross the placenta and are found in fetal tissues.
Microbiology
The tetracyclines are primarily bacteriostatic and are thought to exert their antimicrobial effect by the inhibition of protein synthesis. The tetracyclines, including doxycycline, have a similar antimicrobial spectrum of activity against a wide range of gram-positive and gram-negative organisms. Cross-resistance of these organisms to tetracyclines is common.
Gram-Negative Bacteria
- Neisseria gonorrhoeae
- Calymmatobacterium granulomatis
- Haemophilus ducreyi
- Haemophilus influenzae
- Yersinia pestis(formerlyPasteurella pestis)
- Francisella tularensis (formerlyPasteurelia tularensis)
- Vibrio cholera (formerlyVibrio comma)
- Bartonella bacilliformis
- Brucella species
- Escherichia coli
- Klebsiella species
- Enterobacter aerogenes
- Shigella species
- Acinetobacter species(formerlyMima species andHerellea species)
- Bacteroides species
Because many strains of the following groups of gram-negative microorganisms have been shown to be resistant to tetracyclines, culture and susceptibility testing are recommended:
Gram-Positive Bacteria
Because many strains of the following groups of gram-positive microorganisms have been shown to be resistant to tetracycline, culture and susceptibility testing are recommended. Up to 44 percent of strains of Streptococcus pyogenes and 74 percent of Streptococcus faecalis have been found to be resistant to tetracycline drugs. Therefore, tetracycline should not be used for streptococcal disease unless the organism has been demonstrated to be susceptible.
- Streptococcus pyogenes
- Streptococcus pneumoniae
- Enterococcus group (Streptococcus faecalis andStreptococcus faecium)
- Alpha-hemolytic streptococci (viridans group)
Other Microorganisms
| Rickettsiae | Clostridium species |
| Chlamydia psittaci | Fusobacterium fusiforme |
| Chlamydia trachomatis | Actinomyces species |
| Mycoplasma pneumoniae | Bacillus anthracis |
| Ureaplasma urealyticum | Propionibacterium acnes |
| Borrelia recurrentis | Entamoeba species |
| Treponema pallidum | Balantidium coli |
| Treponema Pertenue | Plasmodium falciparum |
Doxycycline has been found to be active against the asexual erythrocytic forms of Plasmodium falciparum but not against the gametocytes of P. falciparum. The precise mechanism of action of the drug is not known.
Dilution Techniques
Use a standardized dilution method2 (broth, agar, microdilution) or equivalent with tetracycline powder. The MIC values obtained should be interpreted according to the following criteria:
| MIC (mcg/mL) | Interpretation |
| ≤4 | Susceptible |
| 8 | Intermediate |
| ≥16 | Resistant |
As with standard diffusion techniques, dilution methods require the use of laboratory control organisms. Standard tetracycline powder should provide the following MIC values:
| Organism | MIC (mcg/mL) |
| E. coli ATCC 25922 | 1.0-4.0 |
| S. aureus ATCC 29213 | 0.25-1.0 |
| E. faecalis ATCC 29212 | 8-32 |
| P. aeruginosa ATCC 27853 | 8-32 |
Indications And Usage
To reduce the development of drug-resistant bacteria and maintain effectiveness of Doxycycline and other antibacterial drugs, Doxycycline should be used only to treat or prevent infections that are proven or strongly suspected to be caused by susceptible bacteria. When culture and susceptibility information are available, they should be considered in selecting or modifying antibacterial therapy. In the absence of such data, local epidemiology and susceptibility patterns may contribute to the empiric selection of therapy.
Treatment:
Doxycycline is indicated for the treatment of the following infections:
- Rocky Mountain spotted fever, typhus fever and the typhus group, Q. fever, rickettsialpox, and tick fevers caused by Rickettsiae.
- Respiratory tract infections caused by Mycoplasma pneumoniae.
- Lymphogranuloma venereum caused by Chlamydia trachomatis.
- Psittacosis (ornithosis) caused by Chlamydia psittaci.
- Trachoma caused by Chlamydia trachomatis, although the infectious agent is not always eliminated as judged by immunofluorescence.
- Inclusion conjunctivitis caused by Chlamydia trachomatis.
- Uncomplicated urethral, endocervical or rectal infections in adults caused by Chlamydia trachomatis.
- Nongonococcal urethritis caused by Ureaplasma urealyticum.
- Relapsing fever due to Borrelia recurrentis.
- Chancroid caused by Haemophilus ducreyi.
- Plague due to Yersinia pestis (formerly Pasteurella pestis).
- Tuleremia due to Francisella tulerensis (formerly Pasteurella tulerensis).
- Cholera caused by Vibrio cholerae (formerly Vibrio comma).
- Campylobacter fetus infections caused by Campylobacter fetus (formerly Vibrio fetus).
- Brucellosis due to Brucella species (in conjunction with streptomycin).
- Bartonellosis due to Bartonella baciliformis.
- Granuloma inguinale caused by Calymmatobacterium granulomatis.
- Escherichia coli.
- Enterobacter aerogenes (formerly Aerobacter aerogenes).
- Shigella species.
- Acinetobacter species (formerly Mima species and Herellea species).
- Respiratory tract infections caused by Haemophilus influenzae.
- Respiratory tract and urinary tract infections caused by Klebsiella species.
- Upper respiratory infections caused by Streptococcus pneumonie (formerly Diplococcus pneumoniae).
- Anthrax due to Bacillus anthracis, including inhalational anthrax (post-exposure): to reduce the incidence or progression of disease following exposure to aerosolized Bacillus anthracis.
- When penicillin is contraindicated doxycycline is an alternative drug in the treatment of the following infections:
- Uncomplicated gonorrhea caused by Neisseria gonorrhoeae.
- Syphilis caused by Treponema pallidum.
- Yaws caused by Treponema pertenue.
- Listeriosis due to Listeria monocytogenes.
- Vincent's infection caused by Fusobacterium fusiforme.
- Actinomycosis caused by Actinomyces israelii.
- Infections caused by Clostridium species.
- In acute intestinal amebiasis, doxycycline may be a useful adjunct to amebicides.
- In severe acne, doxycycline may be useful adjunctive therapy.
Doxycycline is also indicated for the treatment of infections caused by the following gram-negative microorganisms:
Because many strains of the following groups of microorganisms have been shown to be resistant to doxycycline culture and susceptibility testing are recommended.
Doxycycline is indicated for treatment of infections caused by the following gram-negative microorganisms, when bacteriologic testing indicates appropriate susceptibility to the drug:
Doxycycline is indicated for treatment of infections caused by the following gram-positive microorganisms when bacteriologic testing indicates appropriate susceptibility to the drug:
Prophylaxis:
Doxycycline is indicated for the prophylaxis of malaria due to Plasmodium falciparum in short-term travelers (<4 months) areas with chloroquine and/or pyrimethamine-sulfadoxine resistant strains.
See DOSAGE AND ADMINISTRATION section and Information for Patients subsection of the PRECAUTIONS section.
Contraindications
This drug is contraindicated in persons who have shown hypersensitivity to any of the tetracyclines.
Warnings
THE USE OF DRUGS OF THE TETRACYCLINE CLASS DURING TOOTH DEVELOPMENT (LAST HALF OF PREGNANCY INFANCY AND CHILDHOOD TO THE AGE OF 8 YEARS) MAY CAUSE PERMANENT DISCOLORATION OF THE TEETH (YELLOW-GRAY-BROWN). This adverse reaction is more common during long-term use of the drugs, but it has been observed following repeated short-term courses. Enamel hypoplasia has also been reported. TETRACYCLINE DRUGS, THEREFORE, SHOULD NOT BE USED IN THIS AGE GROUP, EXCEPT FOR ANTHRAX, INCLUDING INHALATIONAL ANTHRAX (POST-EXPOSURE), UNLESS OTHER DRUGS ARE NOT LIKELY TO BE EFFECTIVE OR ARE CONTRAINDICATED.
Pseudomembranous colitis has been reported with nearly all antibacterial agents, including doxycycline, and may range in severity from mild to life-threatening. Therefore, it is important to consider this diagnosis in patients who present with diarrhea subsequent to the administration of antibacterial agents.
Treatment with antibacterial agents alters the normal flora of the colon and may permit overgrowth of clostridia. Studies indicate that a toxin produced by Clostridium difficile is a primary cause of "antibiotic-associated colitis."
After the diagnosis of pseudomembranous colitis has been established, therapeutic measures should be initiated. Mild cases of pseudomembranous colitis usually respond to discontinuation of the drug alone. In moderate to severe cases, consideration should be given to management with fluids and electrolytes, protein supplementation, and treatment with an antibacterial drug clinically effective against Clostridium difficile colitis.
All tetracyclines form a stable calcium complex in any bone-forming tissue. A decrease in fibula growth rate has been observed in prematures given oral tetracycline in doses of 25 mg/kg every 6 hours. This reaction was shown to be reversible when the drug was discontinued.
Results of animal studies indicate that tetracyclines cross the placenta, are found in fetal tissues, and can have toxic effects on the developing fetus (often related to retardation of skeletal development).
Evidence of embryotoxicity has also been noted in animals treated early in pregnancy. If any tetracycline is used during pregnancy or if the patient becomes pregnant while taking this drug, the patient should be apprised of the potential hazard to the fetus.
The antianabolic action of the tetracyclines may cause an increase in BUN. Studies to date indicate that this does not occur with the use of doxycycline in patients with impaired renal function.
Photosensitivity manifested by an exaggerated sunburn reaction has been observed in some individuals taking tetracyclines. Patients apt to be exposed to direct sunlight or ultraviolet light should be advised that this reaction can occur with tetracycline drugs, and treatment should be discontinued at the first evidence of skin erythema.
General
As with other antibiotic preparations, use of this drug may result in overgrowth of nonsusceptible organisms, including fungi. If superinfection occurs, the antibiotic should be discontinued and appropriate therapy instituted.
Bulging fontanels in infants and benign intracranial hypertension in adults have been reported in individuals receiving tetracyclines. These conditions disappeared when the drug was discontinued.
Incision and drainage or other surgical procedures should be performed in conjunction with antibiotic therapy, when indicated.
Doxycycline offers substantial but not complete suppression of the asexual blood stages of Plasmodium strains.
Doxycycline does not suppress P. falciparum's sexual blood stage gametocytes. Subjects completing this prophylactic regimen may still transmit the infection to mosquitoes outside endemic areas.
Prescribing Doxycycline in the absence of proven or strongly suspected bacterial infection or a prophylactic indication is unlikely to provide benefit to the patient and increases the risk of the development of drug-resistant bacteria.
Information For Patients
Patients taking doxycycline for malaria prophylaxis should be advised:
- - that no present-day antimalarial agent, including doxycycline, guarantees protection against malaria.
- - to avoid being bitten by mosquitoes by using personal protective measures that avoid contact with mosquitoes, especially from dusk to dawn (e.g., staying in well-screened areas, using mosquito nets, covering the body with clothing, and using an effective insect repellent).
- - that doxycycline prophylaxis:
- - should begin 1 to 2 days before travel to the malarious area.
- - should be continued daily while in the malarious area and after leaving the malarious area.
- - should be continued for 4 further weeks to avoid development of malaria after returning from an endemic area.
- - should not exceed 4 months.
- - to avoid excessive sunlight or artificial ultraviolet light while receiving doxycycline and to discontinue therapy if phototoxicity (e.g., skin eruption, etc.) occurs. Sunscreen or sunblock should be considered (see WARNINGS).
- - to drink fluids liberally along with doxycycline to reduce the risk of esophageal irritation and ulceration. (See ADVERSE REACTIONS).
- - that the absorption of tetracyclines is reduced when taken with foods, especially those which contain calcium. However, the absorption of doxycycline is not markedly influenced by simultaneous ingestion of food or milk. (See Drug Interactions.)
- - that the absorption of tetracyclines is reduced when taking bismuth subsalicylate (See Drug Interactions.)
- - that the use of doxycycline might increase the incidence of vaginal candidiasis.
All patients taking doxycycline should be advised:
Patients should be counseled that antibacterial drugs including Doxycycline should only be used to treat bacterial infections. They do not treat viral infections (e.g., the common cold). When Doxycycline is prescribed to treat a bacterial infection, patients should be told that although it is common to feel better early in the course of therapy, the medication should be taken exactly as directed. Skipping doses or not completing the full course of therapy may (1) decrease the effectiveness of the immediate treatment and (2) increase the likelihood that bacteria will develop resistance and will not be treatable by Doxycycline or other antibacterial drugs in the future.
Laboratory Tests
In venereal disease, when co-existing syphilis is suspected, dark field examinations should be done before treatment is started and the blood serology repeated monthly for at least 4 months.
In long-term therapy, periodic laboratory evaluation of organ systems, including hematopoietic, renal, and hepatic studies, should be performed.
Drug Interactions
Because tetracyclines have been shown to depress plasma prothrombin activity, patients who are on anticoagulant therapy may require downward adjustment of their anticoagulant dosage.
Since bacteriostatic drugs may interfere with the bactericidal action of penicillin, it is advisable to avoid giving tetracyclines in conjunction with penicillin.
Absorption of tetracycline is impaired by antacids containing aluminum, calcium, or magnesium, and iron-containing preparations.
Absorption of tetracycline is impaired by bismuth subsalicylate.
Barbiturates, carbamazepine, and phenytoin decrease the half-life of doxycycline.
The concurrent use of tetracycline and Penthrane® (methoxyflurane) has been reported to result in fatal renal toxicity.
Concurrent use of tetracycline may render oral contraceptives less effective.
Drug/Laboratory Test Interactions
False elevations of urinary catecholamine levels may occur due to interference with the fluorescence test.
Carcinogenesis, Mutagenesis, Impairment Of Fertility
Long-term studies in animals to evaluate carcinogenic potential of doxycycline have not been conducted. However, there has been evidence of oncogenic activity in rats in studies with the related antibiotics, oxytetracycline (adrenal and pituitary tumors), and minocycline (thyroid tumors).
Likewise, although mutagenicity studies of doxycycline have not been conducted, positive results in in vitro mammalian cell assays have been reported for related antibiotics (tetracycline, oxytetracycline).
Doxycycline administered orally at dosage levels as high as 250 mg/kg/day had no apparent effect on the fertility of female rats. Effect on male fertility has not been studied.
Pregnancy: Teratogenic Effects. Pregnancy Category D:
There are no adequate and well-controlled studies on the use of doxycycline in pregnant women. The vast majority of reported experience with doxycycline during human pregnancy is short-term, first trimester exposure. There are no human data available to assess the effects of long-term therapy of doxycycline in pregnant women such as that proposed for treatment of anthrax exposure. An expert review of published data on experiences with doxycycline use during pregnancy by TERIS — the Teratogen Information System — concluded that therapeutic doses during pregnancy are unlikely to pose a substantial teratogenic risk (the quantity and quality of data were assessed as limited to fair), but the data are insufficient to state that there is no risk3.
A case-control study (18,515 mothers of infants with congenital anomalies and 32,804 mothers of infants with no congenital anomalies) shows a weak but marginally statistically significant association with total malformations and use of doxycycyline anytime during pregnancy. (Sixty-three (0.19%) of the controls and 56 (0.30%) of the cases were treated with doxycycline.) This association was not seen when the analysis was confined to maternal treatment during the period of organogenesis (i.e., in the second and third months of gestation) with the exception of a marginal relationship with neural tube defect based on only two exposed cases4.
A small prospective study of 81 pregnancies describes 43 pregnant women treated for 10 days with doxycycline during early first trimester. All mothers reported their exposed infants were normal at 1 year of age5.
Labor And Delivery
The effect of tetracyclines on labor and delivery is unknown.
Nursing Mothers
Tetracyclines are excreted in human milk, however, the extent of absorption of tetracyclines, including doxycycline, by the breatsfed infant is not known. Short-term use by lactating women is not necessarily contraindicated; however, the effects of prolonged exposure to doxycycline in breast milk are unknown6.
Because of the potential for adverse reactions in nursing infants from doxycycline, a decision should be made whether to discontinue nursing or to discontinue the drug, taking into account the importance of the drug to the mother. (See WARNINGS).
Pediatric Use
See WARNINGS and DOSAGE AND ADMINISTRATION
Adverse Reactions
Due to oral doxycycline's virtually complete absorption, side effects of the lower bowel, particularly diarrhea, have been infrequent. The following adverse reactions have been observed in patients receiving tetracyclines:
Gastrointestinal: anorexia, nausea, vomiting, diarrhea, glossitis, dysphagia, enterocolitis, and inflammatory lesions (with monilial overgrowth) in the anogenital region. Hepatotoxicity has been reported rarely. These reactions have been caused by both the oral and parenteral administration of tetracyclines. Rare instances of esophagitis and esophageal ulcerations have been reported in patients receiving capsule and tablet forms of the drugs in the tetracycline class. Most of these patients took medications immediately before going to bed. (See DOSAGE AND ADMINISTRATION).
Skin: maculopapular and erythematous rashes. Exfoliative dermatitis has been reported but is uncommon. Photosensitivity is discussed above. (See WARNINGS).
Renal toxicity: Rise in BUN has been reported and is apparently dose related. (See WARNINGS).
Hypersensitivity reactions: urticaria, angioneurotic edema, anaphylaxis, anaphylactoid purpura, serum sickness, pericarditis, and exacerbation of systemic lupus erythematosus.
Blood: Hemolytic anemia, thrombocytopenia, neutropenia, and eosinophilia have been reported.
Other: bulging fontanels in infants and intracranial hypertension in adults. (See PRECAUTIONS - General).
When given over prolonged periods, tetracyclines have been reported to produce brown-black microscopic discoloration of the thyroid gland. No abnormalities of thyroid function studies are known to occur.
Overdosage
In case of overdosage, discontinue medication, treat symptomatically and institute supportive measures. Dialysis does not alter serum half-life and thus would not be of benefit in treating cases of overdosage.
Dosage And Administration
Other dosage forms of doxycycline may be more appropriate to meet some of the dosing recommendations listed below.
THE USUAL DOSAGE AND FREQUENCY OF ADMINISTRATION OF DOXYCYCLINE DIFFERS FROM THAT OF THE OTHER TETRACYCLINES. EXCEEDING THE RECOMMENDED DOSAGE MAY RESULT IN AN INCREASED INCIDENCE OF SIDE EFFECTS.
How Supplied
Doxycycline Hyclate Tablets USP, equivalent to 100 mg doxycycline: Film coated orange, round, unscored tablets imprinted "WW 112".
- Bottles of 20 tablets NDC# 68645-021-10
- Store at 20°-25°C (68°-77°F) [See USP Controlled Room Temperature]. Protect from light and moisture.
Dispense in a tight, light-resistant container as defined in the USP using a child-resistant closure.
Animal Pharmacology And Animal Toxicology
Hyperpigementation of the thyroid has been produced by members of the tetracycline class in the following species: in rats by oxytetracycline, doxycycline, tetracycline PO4 and methacycline; in minipigs by doxycycline, minocycline, tetracycline PO4, and methacycline; in dogs by doxycycline and minocycline; in monkeys by minocycline.
Minocycline, tetracycline PO4, methacycline, doxycycline, tetracycline base, oxytetracycline HCI, and tetracycline HCI were goitrogenic in rats fed a low iodine diet. This goitrogenic effect was accompanied by high radioactive iodine uptake. Administration of minocycline also produced a large goiter with high radioiodine uptake in rats fed a relatively high iodine diet. Treatment of various animal species with this class of drugs has also resulted in the induction of thyroid hyperplasia in the following: in rats and dogs (minocycline); in chickens (chlortetracycline); and in rats and mice (oxytetracycline). Adrenal gland hyperplasia has been observed in goats and rats treated with oxytetracycline.
References
- National Committee for Clinical Laboratory Standards, Performance Standards for Antimicrobial Disk Susceptibility Tests, Fourth Edition. Approved Standard NCCLS Document M2-A4, Vol. 10, No. 7 NCCLS, Villanova, PA, April 1990.
- National Committee for Clinical Laboratory Standards, Methods for Dilution Antimicrobial Susceptibility Tests for Bacteria That Grow Aerobically, Second Edition. Approved Standard NCCLS Document M7-A2 Vol. 10, No. 8 NCCLS, Villanova, PA, April 1990.
- Friedman JM and Polifka JE Teratogenic Effects of Drugs. A Resource for Clinicians (TERIS). Baltimore, MD: The Johns Hopkins University Press: 2000:149-195.
- Cziezel AE and Rockenbauer M. Teratogenic study of doxycycline. Obstet Gynecol 1997; 89:524-528.
- Home HW Jr. and Kundsin RB. The role of mycoplasma among 81 consecutive pregnancies: a prespective study. Int J Fertil 1980; 25:315-317.
- Hale T. Medications and Mothers Milk. 9th, edition. Amarillo, TX. Pharmasoft Publishing 2000; 225-226.
Manufactured By: Packaged By:
West-Ward Pharmaceutical Corp. Legacy Pharmaceutical Packaging Eatontown, NJ 07724 Earth City, MO 63045
Revised April 2010
Principal Display Panel
NDC 68645-021-20
For Stockpile Use Only
Doxycycline 100 mg
20 Tablets, USP
Rx Only
* Please review the disclaimer below.

