Product Images Finasteride
View Photos of Packaging, Labels & Appearance
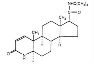
- structure.jpg - finasteride bottle camber 1
- figure1.jpg - finasteride bottle camber 2
- figure2.jpg - finasteride bottle camber 3
- figure3.jpg - finasteride bottle camber 4
- figure4.jpg - finasteride bottle camber 5
- address.jpg - finasteride bottle camber 6
- address3.jpg - finasteride bottle camber 7
- Finasteride Tablets, USP 5 mg - finasteride bottle camber 8
Product Label Images
The following 8 images provide visual information about the product associated with Finasteride NDC 68645-541 by Legacy Pharmaceutical Packaging, Llc, such as packaging, labeling, and the appearance of the drug itself. This resource could be helpful for medical professionals, pharmacists, and patients seeking to verify medication information and ensure they have the correct product.
Finasteride Tablets, USP 5 mg - finasteride bottle camber 8

This is a drug label for Finasteride, which is only available on prescription. The tablets contain 5mg of finasteride USP and are film-coated. This drug should not be used by women or children, especially pregnant women, and they should not handle crushed or broken tablets. The usual adult dosage is one tablet once a day, and the drug should be stored at a temperature of 20°C to 25°C. The drug is distributed by Camber Pharmaceuticals Inc. which is manufactured for Walmart. The label also warns to keep the drug away from children.*
* The product label images have been analyzed using a combination of traditional computing and machine learning techniques. It should be noted that the descriptions provided may not be entirely accurate as they are experimental in nature. Use the information in this page at your own discretion and risk.