FDA Label for Amoxicillin And Clavulanate Potassium
View Indications, Usage & Precautions
- 1 INDICATIONS AND USAGE
- 2 DOSAGE AND ADMINISTRATION
- 3 DOSAGE FORMS AND STRENGTHS
- 4.1 SERIOUS HYPERSENSITIVITY REACTIONS
- 4.2 CHOLESTATIC JAUNDICE/HEPATIC DYSFUNCTION
- 5.1 SERIOUS ALLERGIC REACTIONS, INCLUDING ANAPHYLAXIS
- 5.2 HEPATIC DYSFUNCTION
- 5.3 CLOSTRIDIUM DIFFICILE-ASSOCIATED DIARRHEA
- 5.4 SKIN RASH IN PATIENTS WITH MONONUCLEOSIS
- 5.5 POTENTIAL FOR MICROBIAL OVERGROWTH
- 5.6 PHENYLKETONURICS
- 5.7 DEVELOPMENT OF DRUG-RESISTANT BACTERIA
- 6.1 CLINICAL TRIAL EXPERIENCE
- 6.2 POSTMARKETING EXPERIENCE
- 7.1 PROBENECID
- 7.2 ORAL ANTICOAGULANTS
- 7.3 ALLOPURINOL
- 7.4 ORAL CONTRACEPTIVES
- 7.5 EFFECTS ON LABORATORY TESTS
- 8.1 PREGNANCY
- 8.2 LABOR AND DELIVERY
- 8.3 NURSING MOTHERS
- 8.4 PEDIATRIC USE
- 10 OVERDOSAGE
- 11 DESCRIPTION
- 12.1 MECHANISM OF ACTION
- 12.3 PHARMACOKINETICS
- 12.4 MICROBIOLOGY
- 13.1 CARCINOGENESIS, MUTAGENESIS, IMPAIRMENT OF FERTILITY
- 14 CLINICAL STUDIES
- 15 REFERENCES
- 16 HOW SUPPLIED/STORAGE AND HANDLING
- 17 PATIENT COUNSELING INFORMATION
- PACKAGE LABEL-PRINCIPAL DISPLAY PANEL - 600 MG/42.9 MG* PER 5 ML
Amoxicillin And Clavulanate Potassium Product Label
The following document was submitted to the FDA by the labeler of this product Preferred Pharmaceuticals, Inc.. The document includes published materials associated whith this product with the essential scientific information about this product as well as other prescribing information. Product labels may durg indications and usage, generic names, contraindications, active ingredients, strength dosage, routes of administration, appearance, warnings, inactive ingredients, etc.
1 Indications And Usage
To reduce the development of drug-resistant bacteria and maintain the effectiveness of amoxicillin and clavulanate potassium for oral suspension, USP and other antibacterial drugs, amoxicillin and clavulanate potassium for oral suspension, USP should be used only to treat infections that are proven or strongly suspected to be caused by susceptible bacteria. When culture and susceptibility information are available, they should be considered in selecting or modifying antibacterial therapy. In the absence of such data, local epidemiology and susceptibility patterns may contribute to the empiric selection of therapy.
Amoxicillin and clavulanate potassium for oral suspension, USP is indicated for the treatment of pediatric patients with recurrent or persistent acute otitis media due to S. pneumoniae (penicillin MICs ≤ 2 mcg/mL), H. influenzae (including beta-lactamase – producing strains), or M. catarrhalis (including beta-lactamase-‑producing strains) characterized by the following risk factors:
• antibacterial drug exposure for acute otitis media within the preceding 3 months, and either of the following:
-age 2 years or younger
-daycare attendance
[see CLINICAL PHARMACOLOGY, Microbiology (12.4)]
NOTE: Acute otitis media due to S. pneumoniae alone can be treated with amoxicillin. Amoxicillin and clavulanate potassium for oral suspension, USP is not indicated for the treatment of acute otitis media due to S. pneumoniae with penicillin MIC ≥ 4 mcg/mL. Therapy may be instituted prior to obtaining the results from bacteriological studies when there is reason to believe the infection may involve both S. pneumoniae (penicillin MIC ≤ 2 mcg/mL) and the beta-lactamase-producing organisms listed above.
2 Dosage And Administration
Amoxicillin and clavulanate potassium for oral suspension does not contain the same amount of clavulanic acid (as the potassium salt) as any of the other suspensions of amoxicillin and clavulanate potassium. Amoxicillin and clavulanate potassium for oral suspension contains 42.9 mg of clavulanic acid per 5 mL, whereas the 200 mg/5 mL suspension of amoxicillin and clavulanate potassium contains 28.5 mg of clavulanic acid per 5 mL and the 400 mg/5 mL suspension contains 57 mg of clavulanic acid per 5 mL. Therefore, the 200 mg/28.5 mg/5 mL and 400 mg/57 mg/5 mL suspensions of amoxicillin and clavulanate potassium should not be substituted for amoxicillin and clavulanate potassium for oral suspension as they are not interchangeable.
Dosage: Pediatric patients 3 months and older: Based on the amoxicillin component (600 mg/5 mL), the recommended dose of amoxicillin and clavulanate potassium for oral suspension is 90 mg/kg/day divided every 12 hours, administered for 10 days (see chart below). This dose provides 6.4 mg/kg/day of the clavulanic acid component.
Body Weight (kg) | Volume of Amoxicillin and Clavulanate Potassium Powder for Oral Suspension providing 90 mg/kg/day |
8 | 3 mL twice daily |
12 | 4.5 mL twice daily |
16 | 6 mL twice daily |
20 | 7.5 mL twice daily |
24 | 9 mL twice daily |
28 | 10.5 mL twice daily |
32 | 12 mL twice daily |
36 | 13.5 mL twice daily |
Pediatric patients weighing 40 kg and more: Experience with amoxicillin and clavulanate potassium for oral suspension in this group is not available.
Adults: Experience with amoxicillin and clavulanate potassium for oral suspension in adults is not available and adults who have difficulty swallowing should not be given amoxicillin and clavulanate potassium for oral suspension in place of the 500 mg or 875 mg tablet of amoxicillin and clavulanate potassium.
Hepatically impaired patients should be dosed with caution and hepatic function monitored at regular intervals [see WARNINGS and PRECAUTIONS (5)].
Directions for Mixing Oral Suspension: Prepare a suspension at time of dispensing as follows: Tap bottle until all the powder flows freely. Add approximately 2/3 of the total amount of water for reconstitution (see table below) and shake vigorously to suspend powder. Add remainder of the water and again shake vigorously.
Amoxicillin and Clavulanate Potassium for Oral Suspension | |
Bottle Size | Amount of Water Required for Reconstitution |
75 mL | 71 mL |
125 mL | 112 mL |
200 mL | 176 mL |
Each teaspoonful (5 mL) will contain 600 mg amoxicillin as the trihydrate and 42.9 mg of clavulanic acid as the potassium salt.
NOTE: SHAKE ORAL SUSPENSION WELL BEFORE USING.
Information for the Pharmacist: For patients who wish to alter the taste of amoxicillin and clavulanate potassium for oral suspension, immediately after reconstitution 1 drop of FLAVORx™ (apple, banana cream, bubble gum, cherry, or watermelon flavor) may be added for every 5 mL of amoxicillin and clavulanate potassium for oral suspension. The resulting suspension is stable for 10 days under refrigeration. Stability of amoxicillin and clavulanate potassium for oral suspension when mixed with other flavors distributed by FLAVORx has not been evaluated for flavors other than the five flavors listed above.
Administration: To minimize the potential for gastrointestinal intolerance, amoxicillin and clavulanate potassium for oral suspension should be taken at the start of a meal. Absorption of clavulanate potassium may be enhanced when amoxicillin and clavulanate potassium for oral suspension is administered at the start of a meal.
3 Dosage Forms And Strengths
Powder for Oral Suspension:
• 600 mg/42.9 mg per 5 mL: Strawberry-flavored powder for oral suspension (each 5 mL of reconstituted suspension contains 600 mg amoxicillin and 42.9 mg of clavulanic acid as the potassium salt).
4.1 Serious Hypersensitivity Reactions
Amoxicillin and clavulanate potassium for oral suspension are contraindicated in patients with a history of serious hypersensitivity reactions (e.g., anaphylaxis or Stevens-Johnson syndrome) to amoxicillin, clavulanate or to other beta-lactam antibacterial drugs (e.g., penicillins and cephalosporins).
4.2 Cholestatic Jaundice/Hepatic Dysfunction
Amoxicillin and clavulanate potassium for oral suspension is contraindicated in patients with a previous history of cholestatic jaundice/hepatic dysfunction associated with treatment with amoxicillin/clavulanate potassium.
5.1 Serious Allergic Reactions, Including Anaphylaxis
Serious and occasionally fatal hypersensitivity (anaphylactic) reactions have been reported in patients receiving amoxicillin and clavulanate potassium for oral suspension. These reactions are more likely to occur in individuals with a history of penicillin hypersensitivity and/or a history of sensitivity to multiple allergens.
Before initiating therapy with amoxicillin and clavulanate potassium for oral suspension, careful inquiry should be made regarding previous hypersensitivity reactions to penicillins, cephalosporins, or other allergens. If an allergic reaction occurs, discontinue amoxicillin and clavulanate potassium for oral suspension and institute appropriate therapy.
5.2 Hepatic Dysfunction
Use amoxicillin and clavulanate potassium for oral suspension with caution in patients with evidence of hepatic dysfunction. Hepatic toxicity associated with the use of amoxicillin/clavulanate potassium is usually reversible. Deaths have been reported (fewer than one death reported per estimated four million prescriptions worldwide). These have generally been cases associated with serious underlying diseases or concomitant medications [see Contraindications (4.2) and Adverse Reactions (6.2)].
5.3 Clostridium Difficile-Associated Diarrhea
Clostridium difficile associated diarrhea (CDAD) has been reported with use of nearly all antibacterial agents, including amoxicillin and clavulanate potassium for oral suspension, and may range in severity from mild diarrhea to fatal colitis. Treatment with antibacterial agents alters the normal flora of the colon leading to overgrowth of C. difficile.
C. difficile produces toxins A and B which contribute to the development of CDAD. Hypertoxin producing strains of C. difficile cause increased morbidity and mortality, as these infections can be refractory to antimicrobial therapy and may require colectomy. CDAD must be considered in all patients who present with diarrhea following antibacterial drug use. Careful medical history is necessary since CDAD has been reported to occur over two months after the administration of antibacterial agents.
If CDAD is suspected or confirmed, ongoing antibacterial drug use not directed against C. difficile may need to be discontinued. Appropriate fluid and electrolyte management, protein supplementation, antibacterial treatment of C. difficile, and surgical evaluation should be instituted as clinically indicated.
5.4 Skin Rash In Patients With Mononucleosis
A high percentage of patients with mononucleosis who receive amoxicillin develop an erythematous skin rash. Thus, amoxicillin and clavulanate potassium for oral suspension should not be administered to patients with mononucleosis.
5.5 Potential For Microbial Overgrowth
The possibility of superinfections with mycotic or bacterial pathogens should be kept in mind during therapy. If superinfections occur (usually involving Pseudomonas spp. or Candida spp.), the drug should be discontinued and/or appropriate therapy instituted.
5.6 Phenylketonurics
Amoxicillin and clavulanate potassium for oral suspension contains aspartame which contains phenylalanine. Each 5 mL of the 600 mg/42.9 mg per 5 mL suspension of amoxicillin and clavulanate potassium powder for oral suspension contains 7.02 mg phenylalanine.
5.7 Development Of Drug-Resistant Bacteria
Prescribing amoxicillin and clavulanate potassium for oral suspension in the absence of a proven or strongly suspected bacterial infection is unlikely to provide benefit to the patient and increases the risk of the development of drug-resistant bacteria.
6.1 Clinical Trial Experience
Because clinical trials are conducted under widely varying conditions, adverse reaction rates observed in the clinical trials of a drug cannot be directly compared to rates in the clinical trials of another drug and may not reflect the rates observed in practice.
Two clinical trials evaluated the safety of a 10 day treatment course of amoxicillin and clavulanate potassium for oral suspension 90/6.4 mg/kg/day, divided every 12 hours, in pediatric patients with acute otitis media [see Clinical Studies (14)]. The first trial involved 521 pediatric patients (3 months to 50 months) and the second trial involved 450 pediatric patients (3 months to 12 years). In the intent-to-treat population of the first trial of 521 patients, the most frequently reported adverse events were vomiting (7%), fever (6%), contact dermatitis (i.e., diaper rash) (6%), upper respiratory tract infection (4%), and diarrhea (4%). Protocol-defined diarrhea (i.e., 3 or more watery stools in one day or 2 watery stools per day for 2 consecutive days as recorded on diary cards) occurred in 13% of patients. The primary objective of the second study was to compare the safety of amoxicillin and clavulanate potassium for oral suspension (90/6.4 mg/kg/day, divided every 12 hours) to amoxicillin and clavulanate potassium (45/6.4 mg/kg/day, divided every 12 hours) for ten days. There was no statistically significant difference between treatments in the proportion of patients with 1 or more adverse events. The most frequently reported adverse reactions for amoxicillin and clavulanate potassium for oral suspension and the comparator of amoxicillin and clavulanate potassium were coughing (12% versus 7%), vomiting (7% versus 8%), contact dermatitis (i.e., diaper rash, 6% versus 5%), fever (6% versus 4%), and upper respiratory infection (3% versus 9%), respectively. The frequencies of protocol-defined diarrhea with amoxicillin and clavulanate potassium for oral suspension (11%) and amoxicillin and clavulanate potassium (9%) were not statistically different. Two patients in the group treated with amoxicillin and clavulanate potassium for oral suspension and one patient in the group treated with amoxicillin and clavulanate potassium were withdrawn due to diarrhea.
6.2 Postmarketing Experience
In addition to adverse reactions reported from clinical trials, the following have been identified during postmarketing use of amoxicillin and clavulanate potassium products, including amoxicillin and clavulanate potassium for oral suspension. Because they are reported voluntarily from a population of unknown size, estimates of frequency cannot be made. These events have been chosen for inclusion due to a combination of their seriousness, frequency of reporting, or potential causal connection to amoxicillin and clavulanate potassium.
Gastrointestinal: Nausea, indigestion, gastritis, stomatitis, glossitis, black “hairy” tongue, mucocutaneous candidiasis, enterocolitis, and hemorrhagic/pseudo membranous colitis. Onset of pseudomembranous colitis symptoms may occur during or after antibacterial drug treatment.
Hypersensitivity Reactions: Skin rashes, pruritus, urticaria, angioedema, serum sickness-like reactions (urticaria or skin rash accompanied by arthritis, arthralgia, myalgia, and frequently fever), erythema multiforme, Stevens-Johnson syndrome, acute generalized exanthematous pustulosis, hypersensitivity vasculitis, and an occasional case of exfoliative dermatitis (including toxic epidermal necrolysis) have been reported [see Warnings and Precautions (5.1)].
Liver: A moderate rise in AST (SGOT) and/or ALT (SGPT) has been noted in patients treated with ampicillin-class antibacterial drugs. Hepatic dysfunction, including hepatitis and cholestatic jaundice, increases in serum transaminases (AST and/or ALT), serum bilirubin, and/or alkaline phosphatase, has been reported with amoxicillin and clavulanate potassium or amoxicillin and clavulanate potassium for oral suspension. It has been reported more commonly in the elderly, in males, or in patients on prolonged treatment. The histologic findings on liver biopsy have consisted of cholestatic, hepatocellular, or mixed cholestatic-hepatocellular changes. The onset of signs/symptoms of hepatic dysfunction may occur during or several weeks after therapy has been discontinued. The hepatic dysfunction, which may be severe, is usually reversible. Deaths have been reported [see Contraindications (4.2), Warnings and Precautions (5.2)].
Renal: Interstitial nephritis, hematuria, and crystalluria have been reported [see Overdosage (10)].
Hemic and Lymphatic Systems: Anemia, including hemolytic anemia, thrombocytopenia, thrombocytopenic purpura, eosinophilia, leukopenia, and agranulocytosis have been reported during therapy with penicillins. These reactions are usually reversible on discontinuation of therapy and are believed to be hypersensitivity phenomena. There have been reports of increased prothrombin time in patients receiving amoxicillin and clavulanate potassium and anticoagulant therapy concomitantly.
Central Nervous System: Agitation, anxiety, behavioral changes, confusion, convulsions, dizziness, headache, insomnia, and reversible hyperactivity have been reported.
Miscellaneous: Tooth discoloration (brown, yellow, or gray staining) has been reported. Most reports occurred in pediatric patients. Discoloration was reduced or eliminated with brushing or dental cleaning in most cases.
7.1 Probenecid
Probenecid decreases the renal tubular secretion of amoxicillin. Concurrent use with amoxicillin and clavulanate potassium for oral suspension may result in increased and prolonged blood levels of amoxicillin. Co‑-administration of probenecid is not recommended.
7.2 Oral Anticoagulants
Abnormal prolongation of prothrombin time (increased international normalized ratio [INRI]) has been reported in patients receiving amoxicillin and oral anticoagulants. Appropriate monitoring should be undertaken when anticoagulants are prescribed concurrently. Adjustments in the dose of oral anticoagulants may be necessary to maintain the desired level of anticoagulation.
7.3 Allopurinol
The concurrent administration of allopurinol and amoxicillin increases substantially the incidence of rashes in patients receiving both drugs as compared to patients receiving amoxicillin alone. It is not known whether this potentiation of amoxicillin rashes is due to allopurinol or the hyperuricemia present in these patients. There are no data with amoxicillin and clavulanate potassium for oral suspension and allopurinol administered concurrently.
7.4 Oral Contraceptives
Amoxicillin and clavulanate potassium for oral suspension may affect intestinal flora, leading to lower estrogen reabsorption and reduced efficacy of combined oral estrogen/progesterone contraceptives.
7.5 Effects On Laboratory Tests
High urine concentrations of amoxicillin may result in false-positive reactions when testing for the presence of glucose in urine using CLINITEST®, Benedict’s Solution, or Fehling’s Solution. Since this effect may also occur with amoxicillin and clavulanate potassium for oral suspension, it is recommended that glucose tests based on enzymatic glucose oxidase reactions be used.
Following administration of amoxicillin to pregnant women, a transient decrease in plasma concentration of total conjugated estriol, estriol-glucuronide, conjugated estrone, and estradiol has
been noted.
8.1 Pregnancy
Pregnancy Category B.
There are no adequate and well-controlled studies of amoxicillin and clavulanate potassium in pregnant women. Because animal reproduction studies are not always predictive of human response, use this drug during pregnancy only if clearly needed.
Reproduction studies performed in pregnant rats and mice given amoxicillin and clavulanate potassium (2:1 ratio formulation of amoxicillin:clavulanate) at oral doses up to 1200 mg/kg/day revealed no evidence of harm to the fetus due to amoxicillin and clavulanate potassium. The amoxicillin doses in rodents (based on body surface area and assuming a 20 kg child) were approximately 2 times (rats) or equal to (mice) the recommended clinical amoxicillin and clavulanate potassium for oral suspension dose of 90/6.4 mg/kg/day. For clavulanate, these dose multiples were approximately 15 times and 7.5 times the recommended daily dose of amoxicillin and clavulanate potassium for oral suspension.
8.2 Labor And Delivery
Oral ampicillin-class antibacterial drugs are generally poorly absorbed during labor. Studies in guinea pigs have shown that intravenous administration of ampicillin decreased the uterine tone, frequency of contractions, height of contractions, and duration of contractions. However, it is not known whether the use of amoxicillin and clavulanate potassium in humans during labor or delivery has immediate or delayed adverse effects on the fetus, prolongs the duration of labor, or increases the likelihood that forceps delivery or other obstetrical intervention or resuscitation of the newborn will be necessary. In a single study in women with premature rupture of fetal membranes, it was reported that prophylactic treatment with amoxicillin and clavulanate potassium may be associated with an increased risk of necrotizing enterocolitis in neonates.
8.3 Nursing Mothers
Ampicillin-class antibacterial drugs are excreted in human milk; therefore, caution should be exercised when amoxicillin and clavulanate potassium is administered to a nursing woman.
8.4 Pediatric Use
Safety and efficacy of amoxicillin and clavulanate potassium for oral suspension in infants younger than 3 months have not been established. Safety and efficacy of amoxicillin and clavulanate potassium for oral suspension have been demonstrated for treatment of acute otitis media in infants and children 3 months to 12 years [see Description of Clinical Studies (14)].
The safety and effectiveness of amoxicillin and clavulanate potassium for oral suspension have been established for the treatment of pediatric patients (3 months to 12 years) with acute bacterial sinusitis. This use is supported by evidence from adequate and well-controlled studies of amoxicillin and clavulanate potassium extended-release tablets in adults with acute bacterial sinusitis, studies of amoxicillin and clavulanate potassium for oral suspension in pediatric patients with acute otitis media, and by similar pharmacokinetics of amoxicillin and clavulanate in pediatric patients taking amoxicillin and clavulanate potassium for oral suspension [see CLINICAL PHARMACOLOGY (12)] and adults taking amoxicillin and clavulanate potassium extended-release tablets.
10 Overdosage
Following overdosage, patients have experienced primarily gastrointestinal symptoms including stomach and abdominal pain, vomiting, and diarrhea. Rash, hyperactivity, or drowsiness has also been observed in a small number of patients.
In the case of overdosage, discontinue amoxicillin and clavulanate potassium for oral suspension, treat symptomatically, and institute supportive measures as required. If the overdosage is very recent and there is no contraindication, an attempt at emesis or other means of removal of drug from the stomach may be performed. A prospective study of 51 pediatric patients at a poison control center suggested that overdosage of less than 250 mg/kg of amoxicillin is not associated with significant clinical symptoms and does not require gastric emptying4.
Interstitial nephritis resulting in oliguric renal failure has been reported in a small number of patients after overdosage with amoxicillin.
Crystalluria, in some cases leading to renal failure, has also been reported after amoxicillin overdosage in adult and pediatric patients. In case of overdosage, adequate fluid intake and diuresis should be maintained to reduce the risk of amoxicillin crystalluria.
Renal impairment appears to be reversible with cessation of drug administration. High blood levels may occur more readily in patients with impaired renal function because of decreased renal clearance of both amoxicillin and clavulanate. Both amoxicillin and clavulanate are removed from the circulation by hemodialysis.
11 Description
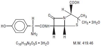
Amoxicillin and clavulanate potassium for oral suspension, USP is an oral antibacterial combination consisting of the semisynthetic antibacterial amoxicillin and the beta-lactamase inhibitor, clavulanate potassium (the potassium salt of clavulanic acid). Amoxicillin is an analog of ampicillin, derived from the basic penicillin nucleus, 6-aminopenicillanic acid. The amoxicillin molecular formula is C16H19N305S•3H2O, and the molecular weight is 419.46. Chemically, amoxicillin is (2S,5R,6R)-6-[(R)-(-)-2-Amino-2-(p‑-hydroxyphenyl)acetamido]-3,3-dimethyl-7- oxo-4-thia-1-azabicyclo [3.2.0] heptane-2-carboxylic acid trihydrate and may be represented structurally as:
Clavulanic acid is produced by the fermentation of Streptomyces clavuligerus. It is a beta-lactam structurally related to the penicillins and possesses the ability to inactivate a wide variety of beta-lactamases by blocking the active sites of these enzymes. Clavulanic acid is particularly active against the clinically important plasmid-mediated beta-lactamases frequently responsible for transferred drug resistance to penicillins and cephalosporins. The clavulanate potassium molecular formula is C8H8KN05 and the molecular weight is 237.25. Chemically, clavulanate potassium is potassium (Z)-(2R,5R)-3-(2-hydroxyethylidene) -7-oxo-4-oxa- 1-azabicyclo [3.2.0] - heptane-2‑-carboxylate and may be represented structurally as:
Amoxicillin and clavulanate potassium for oral suspension, USP is white to off-white granular powder and becomes white to pale yellow suspension with strawberry flavor after reconstitution.
Inactive Ingredients:—Aspartame*, colloidal silicon dioxide, hypromellose, silicon dioxide, strawberry cream permaseal, succinic acid, and xanthan gum [see Warnings and Precautions (5.6)].
Each 5 mL of reconstituted amoxicillin and clavulanate potassium for oral suspension USP, 600 mg/42.9 mg per 5 mL contains 600 mg amoxicillin as the trihydrate and 42.9 mg clavulanic acid as the potassium salt (clavulanate potassium). The potassium content per 5 mL is 0.21 mEq.
12.1 Mechanism Of Action
Amoxicillin and clavulanate potassium for oral suspension is an antibacterial drug [see Microbiology (12.4)].
12.3 Pharmacokinetics
The pharmacokinetics of amoxicillin and clavulanate were determined in a study of 19 pediatric patients, 8 months to 11 years, given amoxicillin and clavulanate potassium for oral suspension at an amoxicillin dose of 45 mg/kg q12h with a snack or meal. The mean plasma amoxicillin and clavulanate pharmacokinetic parameter values are listed in the following table.
Table 1. Mean (±SD) Plasma Amoxicillin and Clavulanate Pharmacokinetic Parameter Values Following Administration of 45 mg/kg of Amoxicillin and Clavulanate Potassium for Oral Suspension Every 12 Hours to Pediatric Patients
PARAMETER | AMOXICILLIN | CLAVULANATE |
Cmax (mcg/mL) | 15.7 ± 7.7 | 1.7 ± 0.9 |
Tmax (hour) | 2 (1 to 4) | 1.1 (1 to 4) |
AUC0-T (mcg*hour/mL) | 59.8 ± 20 | 4 ± 1.9 |
T½(hour) | 1.4 ± 0.3 | 1.1 ± 0.3 |
CL/F (L/hour/kg) | 0.9 ± 0.4 | 1.1 ± 1.1 |
* Arithmetic mean ± standard deviation, except Tmax values which are medians (ranges).
The effect of food on the oral absorption of amoxicillin and clavulanate potassium for oral suspension has not been studied.
Approximately 50% to 70% of the amoxicillin and approximately 25% to 40% of the clavulanic acid are excreted unchanged in urine during the first 6 hours after administration of 10 mL of 250 mg/5 mL suspension of amoxicillin and clavulanate potassium.
Concurrent administration of probenecid delays amoxicillin excretion but does not delay renal excretion of clavulanic acid.
Neither component in amoxicillin and clavulanate potassium for oral suspension is highly protein-bound; clavulanic acid has been found to be approximately 25% bound to human serum and amoxicillin approximately 18% bound.
Oral administration of a single dose of amoxicillin and clavulanate potassium for oral suspension at 45 mg/kg (based on the amoxicillin component) to pediatric patients, 9 months to 8 years, yielded the following pharmacokinetic data for amoxicillin in plasma and middle ear fluid (MEF):
Table 2. Amoxicillin Concentrations in Plasma and Middle Ear Fluid Following Administration of 45 mg/kg of Amoxicillin and Clavulanate Potassium For Oral Suspension to Pediatric Patients
Time Point | Amoxicillin concentration in plasma (mcg/mL) | Amoxicillin concentration in MEF (mcg/mL) | |
1 hour | mean | 7.7 | 3.2 |
2 hour | mean | 15.7 | 3.3 |
3 hour | mean | 13 | 5.8 |
Dose administered immediately prior to eating.
Amoxicillin diffuses readily into most body tissues and fluids with the exception of the brain and spinal fluid. The results of experiments involving the administration of clavulanic acid to animals suggest that this compound, like amoxicillin, is well distributed in body tissues.
12.4 Microbiology
Mechanism of Action
Amoxicillin binds to penicillin-binding proteins within the bacterial cell wall and inhibits bacterial cell wall synthesis. Clavulanic acid is a beta-lactam, structurally related to penicillin, that may inactivate certain beta-lactamase enzymes.
Mechanism of Resistance
Resistance to penicillins may be mediated by destruction of the beta-lactam ring by a beta-lactamase, altered affinity of penicillin for target, or decreased penetration of the antimicrobial drug to reach the target site. Amoxicillin alone is susceptible to degradation by beta-lactamases, and therefore its spectrum of activity does not include bacteria that produce these enzymes.
Amoxicillin/clavulanic acid has been shown to be active against most isolates of the following microorganisms, both in vitro and in clinical infections as described in the INDICATIONS AND USAGE section (1).
Gram-positive bacteria:
Streptococcus pneumoniae (including isolates with penicillin MICs ≤ 2 mcg/mL)
Gram-negative bacteria:
Haemophilus influenzae (including beta-lactamase-producing isolates)
Moraxella catarrhalis (including beta-lactamase-producing isolates)
The following in vitro data are available, but their clinical significance is unknown. At least 90% of the following microorganisms exhibit in vitro minimum inhibitory concentrations (MICs) less than or equal to the susceptible breakpoint for amoxicillin/clavulanic acid. However, the safety and efficacy of amoxicillin/clavulanic acid in treating infections due to these microorganisms have not been established in adequate and well-controlled trials.
Gram-positive bacteria:
Staphylococcus aureus (including beta-lactamase-producing isolates)
Streptococcus pyogenes
Susceptibility Test Methods: When available, the clinical microbiology laboratory should provide cumulative results of in vitro susceptibility test results for antimicrobial drugs used in local hospitals and practice areas to the physician as periodic reports that describe the susceptibility profile of nosocomial and community-acquired pathogens. These reports should aid the physician in selecting the most effective antimicrobial.
Dilution Technique: Quantitative methods are used to determine antimicrobial minimum inhibitory concentrations (MICs). These MICs provide estimates of the susceptibility of bacteria to antimicrobial compounds. The MICs should be determined using a standard test method1, 2 (broth for S. pneumoniae and H. influenzae). The recommended dilution pattern utilizes a constant amoxicillin/clavulanate potassium ratio of 2 to 1 in all tubes with varying amounts of amoxicillin. MICs are expressed in terms of the amoxicillin concentration in the presence of clavulanic acid at a constant 2 parts amoxicillin to 1 part clavulanic acid. The MIC values should be interpreted according to criteria provided in Table 3.
Diffusion Technique: Quantitative methods that require measurement of zone diameters also provides reproducible estimates of the susceptibility of bacteria to antimicrobial compounds. The zone size should be determined using a standardized test method2, 3. This procedure uses paper disks impregnated with 30 mcg amoxicillin/clavulanate potassium (20 mcg amoxicillin plus 10 mcg clavulanate potassium) to test susceptibility of microorganisms to amoxicillin/clavulanate potassium. Disk diffusion zone sizes should be interpreted according to criteria provided in Table 3.
Table 3. Susceptibility Test Result Interpretive Criteria for Amoxicillin/Clavulanate Potassium
Pathogen | Minimum Inhibitory | Disk Diffusion | ||||
Pathogen | S | I | R | S | I | R |
Streptococcus pneumoniae | < 2/1 | 4/2 | > 8.4 | Not Applicable (NA) | ||
Haemophilus influenzae | < 4/2 | NA | > 8/4 | >20 | NA | <19 |
S=Susceptible, I=Intermediate, R=Resistant
NOTE: Susceptibility of S. pneumoniae should be determined using a 1mcg oxacillin disk.
NOTE: For nonmeningitis isolates, a penicillin MIC of ≤0.06 mcg/mL (or oxacillin zone ≥ 20 mm) can predict susceptibility to amoxicillin/clavulanic acid2.
NOTE: Beta-lactamase-negative, ampicillin-resistant (BLNAR) H. influenzae isolates should be considered resistant to amoxicillin/clavulanic acid despite apparent in vitro susceptibility of some BLNAR isolates to these agents.
A report of “Susceptible” (S) indicates that the antimicrobial drug is likely to inhibit growth of the microorganism if the antimicrobial drug reaches the concentration usually achievable at the site of infection. A report of “Intermediate” (I) indicates that the result should be considered equivocal, and if the microorganism is not fully susceptible to alternative, clinically feasible antimicrobials, the test should be repeated. This category implies possible clinical applicability in body sites where the drug is physiologically concentrated or in situations where high doses of antimicrobial can be used. This category also provides a buffer zone that prevents small uncontrolled technical factors from causing major discrepancies in interpretation. A report of “Resistant” (R) indicates that the antimicrobial is not likely to inhibit growth of the pathogen if the antimicrobial drug reaches the concentration usually achievable at the infection site; other therapy should be selected.
Quality Control: Standardized susceptibility test procedures require the use of laboratory controls to monitor and ensure the accuracy and precision of supplies and reagents used in the assay, and the techniques of the individuals performing the test.1-3 Standard amoxicillin/clavulanate potassium powder should provide the following range of MIC noted in Table 4. For the disk diffusion technique using the 30 mcg amoxicillin/clavulanate potassium disk, the criteria in Table 4 should be achieved.
Table 4. Acceptable Quality Control Ranges for Amoxicillin/Clavulanate Potassium
Quality Control Organism | Minimum Inhibitory | Disk Diffusion |
Enterococcus faecalis | 0.25/0.12 to 1/0.5 | NA |
Escherichia coli | 2/1 to 8/4 | 18 to 24 |
Escherichia coli | 4/2 to 16/8 | 17 to 22 |
Haemophilus influenzae | 2/1 to 16/8 | 15 to 23 |
Staphylococcus aureus | NA | 28 to 36 |
Staphylococcus aureus | 0.12/0.06 to 0.5/0.25 | NA |
Staphylococcus pneumoniae | 0.03/0.015 to 0.12/0.06 | NA |
aATCC = American Type Culture Collection
b. QC strain recommended when testing beta-lactam/beta-lactamase inhibitors2.
c. This strain may lose its plasmid and develop susceptibility to beta-lactam antimicrobial agents after repeated transfers onto culture media. Minimize by removing new culture from storage at least monthly or whenever the strain begins to show decreased MICs to ampicillin, piperacillin, or ticarcillin2.
13.1 Carcinogenesis, Mutagenesis, Impairment Of Fertility
Long-term studies in animals have not been performed to evaluate carcinogenic potential. Amoxicillin and clavulanate potassium (4:1 ratio formulation of amoxicillin:clavulanate) was non-mutagenic in the Ames bacterial mutation assay, and the yeast gene conversion assay. Amoxicillin and clavulanate potassium was weakly positive in the mouse lymphoma assay, but the trend toward increased mutation frequencies in this assay occurred at concentrations that were also associated with decreased cell survival. Amoxicillin and clavulanate potassium was negative in the mouse micronucleus test, and in the dominant lethal assay in mice. Potassium clavulanate alone was tested in the Ames bacterial mutation assay and in the mouse micronucleus test, and was negative in each of these assays.
Amoxicillin and clavulanate potassium (2:1 ratio formulation of amoxicillin:clavulanate) at oral doses of up to 1,200 mg/kg/day was found to have no effect on fertility and reproductive performance in rats. Based on body surface area (assuming a 20 kg child), this dose of amoxicillin is approximately 2 times the recommended clinical amoxicillin and clavulanate potassium for oral suspension dose of 90/6.4 mg/kg/day. For clavulanate, the dose multiple is approximately 15 times higher than the recommended clinical daily dose, also based on body surface area.
14 Clinical Studies
Two clinical studies were conducted in pediatric patients with acute otitis media. A non-comparative, open-label study assessed the bacteriologic and clinical efficacy of amoxicillin and clavulanate potassium for oral suspension (90/6.4 mg/kg/day, divided every 12 hours) for 10 days in 521 pediatric patients (3 to 50 months) with acute otitis media. The primary objective was to assess bacteriological response in children with acute otitis media due to S. pneumoniae with amoxicillin/clavulanic acid MICs of 4 mcg/mL. The study sought the enrollment of patients with the following risk factors: Failure of antibacterial therapy for acute otitis media in the previous 3 months, history of recurrent episodes of acute otitis media, 2 years or younger, or daycare attendance. Prior to receiving amoxicillin and clavulanate potassium for oral suspension, all patients had tympanocentesis to obtain middle ear fluid for bacteriological evaluation. Patients from whom S. pneumoniae (alone or in combination with other bacteria) was isolated had a second tympanocentesis 4 to 6 days after the start of therapy. Clinical assessments were planned for all patients during treatment (4 to 6 days after starting therapy), as well as 2 to 4 days post-treatment and 15 to18 days post-treatment. Bacteriological success was defined as the absence of the pretreatment pathogen from the on-therapy tympanocentesis specimen. Clinical success was defined as improvement or resolution of signs and symptoms. Clinical failure was defined as lack of improvement or worsening of signs and/or symptoms at any time following at least 72 hours of amoxicillin and clavulanate potassium for oral suspension; patients who received an additional systemic antibacterial drug for otitis media after 3 days of therapy were considered clinical failures. Bacteriological eradication on therapy (day 4 to 6 visit) in the per protocol population is summarized in the following table:
Table 5. Bacteriologic Eradication Rates in the Per Protocol Population
| * CI = confidence intervals; 95% CIs are not adjusted for multiple comparisons. | |||
Pathogen | Bacteriologic Eradication on Therapy | ||
n/N | % | 95% CI* | |
All S. pneumoniae | 121/123 | 98 | (94.3, 99.8) |
S. pneumoniae with penicillin | 19/19 | 100 | (82.4, 100) |
S. pneumoniae with penicillin | 12/14 | 86 | (57.2, 98.2) |
H. influenzae | 75/81 | 93 | (84.6, 97.2) |
M. catarrhalis | 11/11 | 100 | (71.5, 100) |
Clinical assessments were made in the per protocol population 2 to 4 days post-therapy and 15 to 18 days post-therapy. Patients who responded to therapy 2 to 4 days post-therapy were followed for 15 to 18 days post-therapy to assess them for acute otitis media. Nonresponders at 2 to 4 days post-therapy were considered failures at the latter timepoint.
Table 6. Clinical Assessments in the Per Protocol Population (Includes S. pneumoniae Patients With Penicillin MICs = 2 mcg/mL or 4 mcg/mL*)
Pathogen | 2 to 4 Days Post-Therapy (Primary Endpoint) | ||
Clinical Response | 95% CI† | ||
n/N | % | ||
All S. pneumoniae | 122/137 | 89 | (82.6, 93.7) |
S. pneumoniae with penicillin | 17/20 | 85 | (62.1, 96.8) |
S. pneumoniae with penicillin | 11/14 | 79 | (49.2, 95.3) |
H. influenzae | 141/162 | 87 | (80.9, 91.8) |
M. catarrhalis | 22/26 | 85 | (65.1, 95.6) |
| *S.pneumoniae strains with penicillin MICs of 2 mcg/mL or 4 mcg/mL are considered resistant to penicillin. † CI = confidence intervals; 95% CIs are not adjusted for multiple comparisons. ‡ Clinical assessments at 15 to 18 days post-therapy may have been confounded by viral infections and new episodes of acute otitis media with time elapsed post-treatment. | |||||||||||
Pathogen | 15 to 18 Days Post-Therapy‡ | ||||||||||
Clinical Response | 95% CI† | ||||||||||
n/N | % | ||||||||||
All S. pneumoniae | 95/136 | 70 | (61.4, 77.4) | ||||||||
S. pneumoniae with penicillin | 11/20 | 55 | (31.5, 76.9) | ||||||||
S. pneumoniae with penicillin | 5/14 | 36 | (12.8, 64.9) | ||||||||
H. influenzae | 106/156 | 68 | (60, 75.2) | ||||||||
M. catarrhalis | 14/25 | 56 | (34.9, 75.6) | ||||||||
In the intent-to-treat analysis, overall clinical outcomes at 2 to 4 days and 15 to 18 days post treatment in patients with S. pneumoniae with penicillin MIC = 2 mcg/mL and 4 mcg/mL were 29/41 (71%) and 17/41 (42%), respectively.
15 References
1. Clinical and Laboratory Standards Institute (CLSI). Methods for Dilution Antimicrobial Susceptibility Tests for Bacteria that Grow Aerobically; Approved Standard -Ninth Edition. CLSI document M07-A9, Clinical and Laboratory Standards Institute, 950 West Valley Road, Suite 2500, Wayne, Pennsylvania 19087, USA, 2012.
2. Clinical and Laboratory Standards Institute (CLSI). Performance Standards for Antimicrobial Susceptibility Testing; Twenty-fourth Informational Supplement, CLSI document M100-S24, Clinical and Laboratory Standards Institute, 950 West Valley Road, Suite 2500, Wayne, Pennsylvania 19087, USA, 2014.
3. Clinical and Laboratory Standards Institute (CLSI). Performance Standards for Antimicrobial Disk Diffusion Susceptibility Tests; Approved Standard – Eleventh Edition. CLSI document M02-A11, Clinical and Laboratory Standards Institute, 950 West Valley Road, Suite 2500, Wayne, Pennsylvania 19087, USA, 2012.
4. Swanson-Biearman B, Dean BS, Lopez G, Krenzelok EP. The effects of penicillin and cephalosporin ingestions in children less than six years of age. Vet Hum Toxicol. 1988;30:66-67.
16 How Supplied/Storage And Handling
How Supplied
Amoxicillin and Clavulanate Potassium for Oral Suspension USP, 600 mg/42.9 mg per 5 mL is a white to off-white granular powder – Each 5 mL of reconstituted white to pale yellow, strawberry flavored suspension contains 600 mg amoxicillin and 42.9 mg clavulanic acid as the potassium salt.
Bottles of 75 mL - 68788-0483-7
Bottles of 125 mL - 68788-0483-1
Storage
Store reconstituted suspension under refrigeration. Discard unused suspension after 10 days. Store dry powder for oral suspension at 20° to 25°C (68° to 77°F). [See USP Controlled Room Temperature]. Dispense in original container.
17 Patient Counseling Information
Take amoxicillin and clavulanate potassium for oral suspension every 12 hours with a meal or snack to reduce the possibility of gastrointestinal upset. If diarrhea develops and is severe or lasts more than 2 or 3 days, call your doctor.
Counsel patients that antibacterial drugs, including amoxicillin and clavulanate potassium for oral suspension, should only be used to treat bacterial infections. Antibacterial drugs do not treat viral infections (e.g., the common cold). When amoxicillin and clavulanate potassium for oral suspension is prescribed to treat a bacterial infection, tell patients that although it is common to feel better early in the course of therapy, the medication should be taken exactly as directed. Skipping doses or not completing the full course of therapy may: (1) decrease the effectiveness of the immediate treatment, and (2) increase the likelihood that bacteria will develop resistance and will not be treatable by amoxicillin and clavulanate potassium for oral suspension or other antibacterial drugs in the future.
Counsel patients that diarrhea is a common problem caused by antibacterial drugs which usually ends when the antibacterial drug is discontinued. Sometimes after starting treatment with antibacterial drugs, patient can develop watery and bloody stools (with or without stomach cramps and fever) even as late as 2 or more months after having taken the last dose of the antibacterial drug. If this occurs, patients should contact their physician as soon as possible.
Keep suspension refrigerated. Shake well before using. When dosing a child with the suspension (liquid) of amoxicillin and clavulanate potassium for oral suspension, use a dosing spoon or medicine dropper. Be sure to rinse the spoon or dropper after each use. Bottles of suspension of amoxicillin and clavulanate potassium for oral suspension may contain more liquid than required. Follow your doctor’s instructions about the amount to use and the days of treatment your child requires. Discard any unused medicine.
Counsel patients that amoxicillin and clavulanate potassium for oral suspension contains a penicillin class drug product that can cause allergic reactions in some individuals.
Counsel patients with phenylketonuria: Each 5 mL of the 600 mg/42.9 mg per 5 mL suspension of amoxicillin and clavulanate potassium for oral suspension contains 7.02 mg phenylalanine.
The brands listed are trademarks of their respective owners and are not trademarks of the Aurobindo Pharma Limited.
Distributed by:
Aurobindo Pharma USA, Inc.
2400 Route 130 North
Dayton, NJ 08810
Manufactured by:
Aurobindo Pharma Limited
Hyderabad-500 038, India
Revised: 07/2017
Relabeled By: Preferred Pharmaceuticals Inc.
Package Label-Principal Display Panel - 600 Mg/42.9 Mg* Per 5 Ml
NDC 68788-0483-1
Rx only
Amoxicillin and
Clavulanate Potassium
for Oral Suspension, USP
600 mg/42.9 mg* per 5 mL
200 mL when reconstituted
AUROBINDO
Relabeled By: Preferred Pharmaceuticals Inc.
* Please review the disclaimer below.

