Product Images Amoxicillin

View Photos of Packaging, Labels & Appearance

Product Label Images

The following 2 images provide visual information about the product associated with Amoxicillin NDC 68788-7414 by Preferred Pharmaceuticals Inc., such as packaging, labeling, and the appearance of the drug itself. This resource could be helpful for medical professionals, pharmacists, and patients seeking to verify medication information and ensure they have the correct product.

Amoxicillin Tab. USP 875mg - amoxicillin fig2

Amoxicillin Tab. USP 875mg - amoxicillin fig2

This is a label from a medication bottle for Amoxicillin tablets of 875mg. It states that the transfer of this medication is prohibited by federal law. The tablets are manufactured by Rising Health, LLC. The medication is the generic equivalent of the brand name medication Amoxil. The bottle includes information on the lot number, product number, expiration date, and packaging size.*

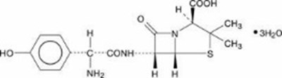
Chemical Structure - amoxicillin str

Chemical Structure - amoxicillin str

* The product label images have been analyzed using a combination of traditional computing and machine learning techniques. It should be noted that the descriptions provided may not be entirely accurate as they are experimental in nature. Use the information in this page at your own discretion and risk.