Product Images Amoxicillin

View Photos of Packaging, Labels & Appearance

Product Label Images

The following 2 images provide visual information about the product associated with Amoxicillin NDC 68788-8519 by Preferred Pharmaceuticals Inc., such as packaging, labeling, and the appearance of the drug itself. This resource could be helpful for medical professionals, pharmacists, and patients seeking to verify medication information and ensure they have the correct product.

A yellow rectangular object with black textDescription automatically generated - 4579CD55 1DBE 40B8 86F0 33A319C934DE 00

A yellow rectangular object with black textDescription automatically generated - 4579CD55 1DBE 40B8 86F0 33A319C934DE 00

Amoxicillin Capsules 500mg is a generic version of Amoxil. Each capsule contains 500mg of Amoxicillin. The medication is manufactured by Hikma Pharmaceuticals Inc. The recommended storage temperature is between 20°-25°C (68-77°F). It is important to keep this medication out of the reach of children. The medication is marked with the inscription "Westward 939" on the capsules. It is recommended to finish all medication unless advised otherwise by a doctor. Side effects should be reported to the FDA at 1-800-FDA-1085. The directions for use are provided in both English and Spanish. The medication should be taken as directed and should not be transferred to anyone other than the patient for whom it was prescribed.*

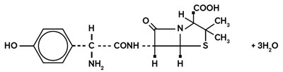
structural formula image - amoxicillin capsules 250 mg and 500 mg 1

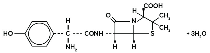
structural formula image - amoxicillin capsules 250 mg and 500 mg 1

* The product label images have been analyzed using a combination of traditional computing and machine learning techniques. It should be noted that the descriptions provided may not be entirely accurate as they are experimental in nature. Use the information in this page at your own discretion and risk.