FDA Label for Metronidazole
View Indications, Usage & Precautions
- DESCRIPTION
- CLINICAL PHARMACOLOGY
- INDICATIONS AND USAGE
- CONTRAINDICATIONS
- GENERAL
- INFORMATION FOR PATIENTS
- DRUG INTERACTIONS
- CARCINOGENES IS, MUTAGENES IS, IMPAIRMENT OF FERTILITY
- PREGNANCY
- NURSING MOTHERS
- PEDIATRIC USE
- ADVERSE REACTIONS
- DOSAGE AND ADMINISTRATION
- HOW SUPPLIED
- OTHER
- PACKAGE LABEL.PRINCIPAL DISPLAY PANEL
Metronidazole Product Label
The following document was submitted to the FDA by the labeler of this product Preferred Pharmaceuticals Inc.. The document includes published materials associated whith this product with the essential scientific information about this product as well as other prescribing information. Product labels may durg indications and usage, generic names, contraindications, active ingredients, strength dosage, routes of administration, appearance, warnings, inactive ingredients, etc.
Description
Metronidazole topical cream contains metronidazole, USP, at a concentration of 7.5 mg per gram (0.75%) in an emollient cream consisting of benzyl alcohol, emulsifying wax, glycerin, isopropyl palmitate, purified water, sorbitol solution, lactic acid and sodium hydroxide to adjust pH.
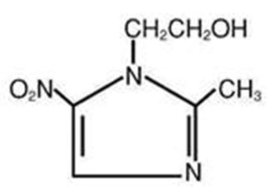
Metronidazole is a member of the imidazole class of antibacterial agents and is classified therapeutically as an antiprotozoal and anti-bacterial agent. Chemically, metronidazole is 2-methyl-5-nitro-1H-imidazole-1-ethanol. The molecular formula is C6H9N3O3 and molecular weight is 171.15.
Metronidazole is represented by the following structural formula:
Clinical Pharmacology
The mechanisms by which metronidazole acts in the treatment of rosacea are unknown, but appear to include an anti-inflammatory effect.
Indications And Usage
Metronidazole topical cream is indicated for topical application in the treatment of inflammatory papules and pustules of rosacea.
Contraindications
Metronidazole topical cream is contraindicated in individuals with a history of hypersensitivity to metronidazole, or other ingredients of the formulation.
General
Topical metronidazole has been reported to cause tearing of the eyes. Therefore, contact with the eyes should be avoided. If a reaction suggesting local irritation occurs, patients should be directed to use the medication less frequently or discontinue use. Metronidazole is a nitroimidazole and should be used with care in patients with evidence of, or history of blood dyscrasia.
Information For Patients
This medication is to be used as directed by the physician. It is for external use only. Avoid contact with the eyes.
Drug Interactions
Oral metronidazole has been reported to potentiate the anticoagulant effect of warfarin and coumarin anticoagulants, resulting in a prolongation of prothrombin time. The effect of topical metronidazole on prothrombin time is not known.
Carcinogenes Is, Mutagenes Is, Impairment Of Fertility
Metronidazole has shown evidence of carcinogenic activity in a number of studies involving chronic, oral administration in mice and rats but not in studies involving hamsters.
Metronidazole has shown evidence of mutagenic activity in several in vitro bacterial assay systems. In addition, a dose-response increase in the frequency of micronuclei was observed in mice after intraperitoneal injections and an increase in chromosome aberrations have been reported in patients with Crohn's disease who were treated with 200 mg/day to 1,200 mg/day of metronidazole for 1 months to 24 months.
However, no excess chromosomal aberrations in circulating human lymphocytes have been observed in patients treated for 8 months.
Pregnancy
Teratogenic effects
There are no adequate and well-controlled studies with the use of metronidazole topical cream in pregnant women. Metronidazole crosses the placental barrier and enters the fetal circulation rapidly. No fetotoxicity was observed after oral metronidazole in rats or mice. However, because animal reproduction studies are not always predictive of human response and since oral metronidazole has been shown to be a carcinogen in some rodents, this drug should be used during pregnancy only if clearly needed.
Nursing Mothers
After oral administration, metronidazole is secreted in breast milk in concentrations similar to those found in the plasma. Even though blood levels are significantly lower with topically applied metronidazole than those achieved after oral administration of metronidazole, a decision should be made whether to discontinue nursing or to discontinue the drug, taking into account the importance of the drug to the mother.
Pediatric Use
Safety and effectiveness in pediatric patients have not been established.
Adverse Reactions
In controlled clinical trials, the total incidence of adverse reactions associated with the use of metronidazole topical cream was approximately 10%. Skin discomfort (burning and stinging) was the most frequently reported event followed by erythema, skin irritation, pruritus and worsening of rosacea.
All individual events occurred in less than 3% of patients. The following additional adverse experiences have been reported with the topical use of metronidazole: dryness, transient redness, metallic taste, tingling or numbness of extremities and nausea.
To report SUSPECTED ADVERSE REACTIONS, contact Viona Pharmaceuticals Inc. at 1-888-304-5011 or FDA at 1-800-FDA-1088 or www.fda.gov/medwatch.
Dosage And Administration
Apply and rub in a thin layer of metronidazole topical cream twice daily, morning and evening, to entire affected areas after washing.
Areas to be treated should be washed with a mild cleanser before application. Patients may use cosmetics after application of metronidazole topical cream.
How Supplied
Metronidazole topical cream, 0.75% is white to off-white homogeneous cream, free from lumps, free from gritty particles and foreign matter without phase separation and is supplied as follows:
45 gram aluminum tube | NDC 68788-8552-4 |
Storage conditions: Store at 20°C to 25°C (68°F to 77°F); excursions permitted between 15°C to 30°C (59°F to 86°F) [See USP Controlled Room Temperature].
Call your doctor for medical advice about side effects. You may report side effects to Viona Pharmaceuticals Inc. at 1-888-304-5011 or FDA at 1-800-FDA-1088.
Other
Manufactured by:
Zydus Lifesciences Ltd.
Changodar, Ahmedabad, India
Distributed by:
Viona Pharmaceuticals Inc.
Cranford, NJ 07016
Rev.: 01/23
Relabeled By: Preferred Pharmaceuticals Inc.
Package Label.Principal Display Panel
NDC 68788-8552-4
Metronidazole Topical Cream, 0.75%
Rx only
45 g
Viona
Relabeled By: Preferred Pharmaceuticals Inc.
* Please review the disclaimer below.

