Product Images Methocarbamol

View Photos of Packaging, Labels & Appearance

Product Label Images

The following 3 images provide visual information about the product associated with Methocarbamol NDC 68788-8822 by Preferred Pharmaceuticals Inc., such as packaging, labeling, and the appearance of the drug itself. This resource could be helpful for medical professionals, pharmacists, and patients seeking to verify medication information and ensure they have the correct product.

Methocarbamol Tab USP 500mg - Methocarbamol Tab USP 500mg

Methocarbamol Tab USP 500mg - Methocarbamol Tab USP 500mg

Generic for Robaxin Methocarbamol Tablet USP 500mg is a medication used for muscle relaxant purposes. It is important to exercise caution as federal law prohibits transferring it to anyone other than the patient for whom it was prescribed. Each tablet contains 500mg of Methocarbamol, USP. The tablets are white, scored, and imprinted with "114 7H 0". Stored at controlled room temperature (20-25°C/68-77°F), this medication is manufactured by Hetero Labs Limited. The package size, expiration date, lot number, and batch number are also provided for further reference.*

address.jpg - address

address.jpg - address

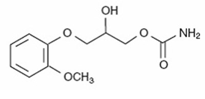
structure.jpg - structure

structure.jpg - structure

* The product label images have been analyzed using a combination of traditional computing and machine learning techniques. It should be noted that the descriptions provided may not be entirely accurate as they are experimental in nature. Use the information in this page at your own discretion and risk.