Product Images Sildenafil

View Photos of Packaging, Labels & Appearance

Product Label Images

The following 11 images provide visual information about the product associated with Sildenafil NDC 69097-952 by Cipla Usa Inc.,, such as packaging, labeling, and the appearance of the drug itself. This resource could be helpful for medical professionals, pharmacists, and patients seeking to verify medication information and ensure they have the correct product.

100mg-30count.jpg - 100mg 30ct

100mg-30count.jpg - 100mg 30ct

This is a description for Sildenafil tablets with NDC 69097-953.02 R. The medication is used to treat male sexual function problems such as impotence or erectile dysfunction. Each film-coated tablet contains 100 mg of Sildenafil, USP, and it comes in a bottle with 30 tablets. The tablets should be stored at room temperature and dispensed in tight, light-resistant containers. The medication is manufactured by Appoo Pharma LLC in Piscataway, NJ, and distributed by Cipla USA, Inc. in Warton, NJ. The dosage and usage should be discussed with a healthcare professional.*

25mg-30ct.jpg - 25mg 30ct

25mg-30ct.jpg - 25mg 30ct

This is a prescription-only medication with a National Drug Code (NDC) of 69097-951-02. It contains Sildenafil, USP and comes in a box with 30 film-coated tablets. The tablets should be stored in a tight container at room temperature between 15-30°C (59-86°F). The dosage and usage instructions are provided in an accompanying prescribing information leaflet. The manufacturer of the medication is Appco Pharma LLC, based in Piscataway, NJ, and it is distributed by Cipla USA, Inc. located in Warren, NJ. The medication was batched and released in April 2020 with a GTIN barcode for tracking purposes.*

50mg-30ct.jpg - 50mg 30ct

50mg-30ct.jpg - 50mg 30ct

This text provides information about a medication that should be stored at 25°C, with a temperature range of 15-30°C permitted. The tablets contain sildenafil citrate, with a dosage of 50 mg each. The medication should be dispensed in child-resistant containers. It is manufactured by Appco Pharma and distributed by Cipla USA, Inc. Additional dosage and usage information can be found in the accompanying prescribing information.*

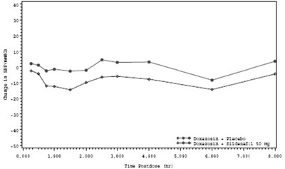
fig-6.jpg - fig 6

fig-6.jpg - fig 6

Fig5 - fig5

Fig5 - fig5

figure-7.jpg - figure 7

figure-7.jpg - figure 7

figure1 - figure1

figure1 - figure1

Not available.*

figure2 - figure2

figure2 - figure2

figure3 - figure3

figure3 - figure3

figure4 - figure4

figure4 - figure4

STR - structure

STR - structure

* The product label images have been analyzed using a combination of traditional computing and machine learning techniques. It should be noted that the descriptions provided may not be entirely accurate as they are experimental in nature. Use the information in this page at your own discretion and risk.