Product Images Toviaz

View Photos of Packaging, Labels & Appearance

Product Label Images

The following 7 images provide visual information about the product associated with Toviaz NDC 69189-0244 by Avera Mckennan Hospital, such as packaging, labeling, and the appearance of the drug itself. This resource could be helpful for medical professionals, pharmacists, and patients seeking to verify medication information and ensure they have the correct product.

Fesoterodine ER 8 mg tablet - 6918902441

Fesoterodine ER 8 mg tablet - 6918902441

This is a description of a medication called Fesoterodine Fumarate ER, sold under the brand name Toviaz in the form of an 8mg tablet. The manufacturer of the medicine is Pfizer, and the lot number on the package reads as M25548. This medication has been assigned the NDC number 6918902441. The rest of the text seems to be related to the inventory management of the product, including its hospital lot number and expiration date.*

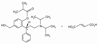
Chemical Structure - toviaz 01

Chemical Structure - toviaz 01

Figure 1 - toviaz 02

Figure 1 - toviaz 02

The text describes the mean change from baseline in the number of micturitions per 24 hours in a study. It also presents a figure showing the change in the number of micturitions over 12 weeks for a group of patients who received a placebo and another group who received Toviazdmg.*

Figure 2 - toviaz 03

Figure 2 - toviaz 03

Figure 3 - toviaz 04

Figure 3 - toviaz 04

This appears to be a statistical result describing the mean change from baseline (in terms of the number of micturitions per 24 hours) in a study involving three groups: a placebo group (N=266), a group given Toviaz 4mg (N=267), and a group given Toviaz 8mg (N=267). The mean change from baseline for all groups combined was a decrease of 0.5 micturitions/day. Figure 3 illustrates the change in number of micturitions over time for each group.*

Figure 4 - toviaz 05

Figure 4 - toviaz 05

The text provides a figure (Figure 4) that shows the change in urge incontinence episodes per 24 hours over a 12-week period for three different groups of participants: placebo (N=205), Toviaz 4mg (N=228), and Toviaz 8mg (N=218). The horizontal axis represents the weeks of the study, while the vertical axis represents the change in the number of incontinence episodes per 24 hours. No further information is available.*

Logo - toviaz 06

Logo - toviaz 06

This text appears to be a fragment of a company name and address which is not fully readable due to errors. Therefore, a useful description cannot be generated.*

* The product label images have been analyzed using a combination of traditional computing and machine learning techniques. It should be noted that the descriptions provided may not be entirely accurate as they are experimental in nature. Use the information in this page at your own discretion and risk.