FDA Label for Dermasilkrx Sdspak
View Indications, Usage & Precautions
- TRIAMCINOLONE ACETONIDE CREAM USP (0.1%)
- DESCRIPTION
- CLINICAL PHARMACOLOGY
- INDICATIONS AND USAGE
- CONTRAINDICATIONS
- GENERAL
- INFORMATION FOR THE PATIENT
- LABORATORY TESTS
- CARCINOGENESIS, MUTAGENESIS, AND IMPAIRMENT OF FERTILITY
- PREGNANCY CATEGORY C
- NURSING MOTHERS
- PEDIATRIC USE
- ADVERSE REACTIONS
- DOSAGE AND ADMINISTRATION
- HOW SUPPLIED
- SKIN REPAIR COMPLEX (DIMETHICONE 5.0%)
- ACTIVE INGREDIENT
- PURPOSE
- USES
- WARNINGS
- DIRECTIONS
- OTHER INFORMATION
- INACTIVE INGREDIENTS
- SILICONE TAPE
- SDS PAK- CARTON
Dermasilkrx Sdspak Product Label
The following document was submitted to the FDA by the labeler of this product Patchwerx Labs, Inc.. The document includes published materials associated whith this product with the essential scientific information about this product as well as other prescribing information. Product labels may durg indications and usage, generic names, contraindications, active ingredients, strength dosage, routes of administration, appearance, warnings, inactive ingredients, etc.
Triamcinolone Acetonide Cream Usp (0.1%)
Description
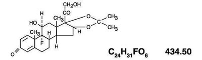
The topical corticosteroids constitute a class of primarily synthetic steroids used as anti-inflammatory and antipruritic agents. Triamcinolone acetonide is a member of this class. Chemically triamcinolone acetonide is pregna-1, 4-diene-3, 20-dione, 9-flouro-11, 21-dihydroxy-16, 17-[(1-methylethylidene)bis(oxy)]-(11β16a). Its structural formula is:
Each gram of triamcinolone acetonide cream contains 1 mg triamcinolone acetonide USP in a cream base consisting of purified water, emulsifying wax, mineral oil, propylene glycol, sorbitol solution, cetyl palmitate, sorbic acid, and potassium sorbate.
Clinical Pharmacology
Topical corticosteroids share anti-inflammatory, antipruritic and vasoconstrictive actions.
The mechanism of anti-inflammatory activity of the topical corticosteroids is unclear. Various laboratory methods, including vasoconstrictor assays, are used to compare and predict potencies and/or clinical efficacies of the topical corticosteroids. There is some evidence to suggest that a recognizable correlation exists between vasoconstrictor potency and therapeutic efficacy in man.
Pharmacokinetics
The extent of percutaneous absorption of topical corticosteroids is determined by many factors including the vehicle, the integrity of the epidermal barrier, and the use of occlusive dressings.
Topical corticosteroids can be absorbed from normal intact skin. Inflammation and/or other disease processes in the skin increase percutaneous absorption. Occlusive dressings substantially increase the percutaneous absorption of topical corticosteroids. Thus, occlusive dressings may be a valuable therapeutic adjunct for treatment of resistant dermatoses. (See DOSAGE AND ADMINISTRATION).
Once absorbed through the skin, topical corticosteroids are handled through pharmacokinetic pathways similar to systemically administered corticosteroids. Corticosteroids are bound to plasma proteins in varying degrees. Corticosteriods are metabolized primarily in the liver and are then excreted by the kidneys. Some of the topical corticosteroids and their metabolites are also excreted into the bile.
Indications And Usage
Triamcinolone acetonide cream is indicated for the relief of the inflammatory and pruritic manifestations of corticosteroid-responsive dermatoses.
Contraindications
Triamcinolone acetonide cream is contraindicated in those patients with a history of hypersensitivity to any of the components of the preparation.
General
Systemic absorption of topical corticosteroids has produced reversible hypothalamic-pituitary-adrenal (HPA) axis suppression, manifestations of Cushing's syndrome, hyperglycemia, and glucosuria in some patients.
Conditions which augment systemic absorption include the application of the more potent steroids, use over large surface areas, prolonged use, and the addition of occlusive dressings.
Therefore, patients receiving a large dose of a potent topical steroid applied to a large surface area or under an occlusive dressing should be evaluated periodically for evidence of HPA axis suppression by using the urinary free cortisol and ACTH stimulation tests. If HPA axis suppression is noted, an attempt should be made to withdraw the drug, to reduce the frequency of application, or to substitute a less potent steroid.
Recovery of HPA axis function is generally prompt and complete upon discontinuation of the drug. Infrequently, signs and symptoms of steroid withdrawal may occur, requiring supplemental systemic corticosteroids. Children may absorb proportionally larger amounts of topical corticosteroids and thus be more susceptible to systemic toxicity (See PRECAUTIONS-PEDIATRIC USE).
If irritation develops, topical corticosteroids should be discontinued and appropriate therapy instituted.
In the presence of dermatological infections, the use of an appropriate antifungal or antibacterial agent should be instituted. If a favorable response does not occur promptly, the corticosteroid should be discontinued until the infection has been adequately controlled.
Information For The Patient
Patients using topical corticosteroids should receive the following information and instructions.
- This medication is to be used as directed by the physician. It is for external use only. Avoid contact with the eyes.
- Patients should be advised not to use this medication for any disorder other than for which it was prescribed.
- The treated skin area should not be bandaged or otherwise covered or wrapped as to be occlusive unless directed by the physician.
- Patients should report any signs of local adverse reactions especially under occlusive dressing.
- Parents of pediatric patients should be advised not to use tight-fitting diapers or plastic pants on a child being treated in the diaper area, as these garments may constitute occlusive dressings.
Laboratory Tests
The following tests may be helpful in evaluating the HPA axis suppression:
- Urinary free cortisol test
- ACTH stimulation test
Carcinogenesis, Mutagenesis, And Impairment Of Fertility
Long-term animal studies have not been performed to evaluate the carcinogenic potential or the effect on fertility of topical corticosteroids.
Studies to determine mutagenicity with prednisolone and hydrocortisone have revealed negative results.
Pregnancy Category C
Corticosteroids are generally teratogenic in laboratory animals when administered systemically at relatively low dosage levels. The more potent corticosteroids have been shown to be teratogenic after dermal application in laboratory animals. There are not adequate and well-controlled studies in pregnant women on teratogenic effects from topically applied corticosteroids. Therefore, topical corticosteroids should be used during pregnancy only if the potential benefit justifies the potential risk to the fetus. Drugs of this class should not be used extensively on pregnant patients, in large amounts, or for prolonged periods of time.
Nursing Mothers
It is not known whether topical administration of corticosteroids could result in sufficient systemic absorption to produce detectable quantities in breast milk. Systemically administered corticosteroids are secreted into breast milk in quantities not likely to have a deleterious effect on the infant. Nevertheless, caution should be exercised when topical corticosteroids are administered to a nursing woman.
Pediatric Use
Pediatric patients may demonstrate greater susceptibility to topical corticosteroid-induced HPA axis suppression and Cushing's syndrome than mature patients because of a larger skin surface area to body weight ratio.
Hypothalamic-pituitary-adrenal (HPA) axis suppression, Cushings's syndrome and intracranial hypertension have been reported in children receiving topical corticosteroids. Manifestations of adrenal suppression in children include linear growth retardation, delayed weight gain, low plasma cortisol levels, and absence of response to ACTH stimulation. Manifestations of intracranial hypertension include bulging fontanelles, headaches, and bilateral papilledema.
Administration of topical corticosteroids to children should be limited to the least amount compatible with an effective therapeutic regimen. Chronic corticosteroid therapy may interfere with the growth and development of children.
Adverse Reactions
The following local adverse reactions are reported infrequently with topical corticosteroids, but may occur more frequently with the use of occlusive dressings. These reactions are listed in an approximate decreasing order of occurrence:
- Burning
- Itching
- Irritation
- Dryness
- Folliculitis
- Hypertrichosis
- Acneiform eruptions
- Hypopigmentation
- Perioral dermatitis
- Allergic contact dermatitis
- Maceration of the skin
- Secondary infection
- Skin Atrophy
- Striae
- Miliaria
Dosage And Administration
Topical corticosteroids are generally applied to the affected area as a thin film from two to three times daily depending on the severity of the condition.
Occlusive dressing may be used for the management of psoriasis or recalcitrant conditions.
If an infection develops, the use of occlusive dressing should be discontinued and appropriate antimicrobial therapy instituted.
How Supplied
Triamcinolone acetonide cream USP 0.1% is supplied in
80 g tube NDC 67877-251-80
Store at 59-86°F.
CAUTION: FEDERAL LAW PROHIBITS DISPENSING WITHOUT PRESCRIPTION.
Skin Repair Complex (Dimethicone 5.0%)
Drug Facts
Active Ingredient
Dimethicone 5.0%
Purpose
Skin Protectant
Uses
■ for the treatment and/or prevention of diaper rash
■ temporarily protects and helps relieve chapped or cracked skin
Warnings
For external use only
Do not use on ■ deep or puncture wounds ■ animal bites ■ serious burns
When using this product ■ do not get into eyes
Stop use and ask a doctor if ■ condition worsens
■ symptoms last more than 7 days or clear up and occur again within a few days
Keep out of reach of children. If swallowed, get medical help or contact a Poison Control Center right away.
Directions
■ apply cream liberally as needed
Other Information
■ protect from freezing ■ avoid excessive heat
Inactive Ingredients
Aleurites moluccana seed oil, Aloe barbadensis ( Aloe vera) leaf juice, butylene glycol, caprylyl glycol, Carthamus tinctorius (safflower) seed oil, cetyl alcohol, chlorphenesin, dimethicone crosspolymer, disodium EDTA, fragrance, glycerin, glyceryl stearate, Complex [consisting of: bisabolol, calcium pantothenate (vitamin B 5), Carthamus tinctorius (safflower) oleosomes, maltodextrin, niacinamide (vitamin B 3), pyridoxine HCl (vitamin B 6), silica, sodium ascorbyl phosphate (vitamin C), sodium starch octenylsuccinate, tocopheryl acetate (vitamin E), Zingiber officinale (ginger) root extract], PEG-100 stearate, pentaerythrityl tetra-di-t-butyl hydroxyhydrocinnamate, phenoxyethanol, purified water, sodium hyaluronate, stearic acid, triethanolamine.
Silicone Tape
Uses
• To be applied to wounds or scars as a protective silicone barrier.
• As a dressing for abrasions, surgical wounds, donor sites, lacerations, ulcers, skin tears, superficial partial thickness burns, venous leg ulcers.
• As a dressing/securement for IV related uses, pressure ulcers, skin care, and wound care
Precautions
• Do not use if you are allergic to silicone
• Keep out of reach of children
Directions for use
• Apply tape to wound or scar as needed or as directed by your physician. Remove tape, wash area, and apply new tape at least every 24 hours.
Sds Pak- Carton
* Please review the disclaimer below.

