Product Images Bisoprolol Fumarate

View Photos of Packaging, Labels & Appearance

Product Label Images

The following 6 images provide visual information about the product associated with Bisoprolol Fumarate NDC 69339-236 by Natco Pharma Usa Llc, such as packaging, labeling, and the appearance of the drug itself. This resource could be helpful for medical professionals, pharmacists, and patients seeking to verify medication information and ensure they have the correct product.

10mg 100 Tablets - 10 mg 100 tablets

10mg 100 Tablets - 10 mg 100 tablets

This is a medication label for Bisoprolol Fumarate tablets containing 10 mg of the active ingredient. It is important to dispense and store the tablets in a tight, light-resistant container with a child-resistant closure. The medication should be kept out of reach of children and stored at a temperature of 20° to 25°C (68° to 77°F). It is recommended to protect the tablets from moisture. Additionally, the label provides information on the manufacturer and distributor of the medication.*

10 mg 30 Tablets - 10 mg 30 tablets

10 mg 30 Tablets - 10 mg 30 tablets

The text provides information on a medication containing Bisoprolol fumarate USP 10 mg tablets. It includes dosage instructions, storage guidelines, manufacturer details, and advises on keeping the medicine out of children's reach and protecting it from moisture. Additional prescribing information should be consulted for the usual dosage.*

5mg 100 Tablets - 5 mg 100 tablets

5mg 100 Tablets - 5 mg 100 tablets

This text contains information about a medication called Bisoprolol Fumarate in tablet form. It includes details on dosage, storage instructions, manufacturer information, and a product code (NDC: 69339-236-01). The tablets contain 5 mg of Bisoprolol fumarate, USP and are to be dispensed in a light-resistant container with a child-resistant closure. The medication is manufactured by Natco Pharma Limited in India for NATCO Pharma USA LLC, based in Parsippany, NJ. The text also provides guidelines on storing the medication between 20° to 25°C, protecting it from moisture, and keeping it out of reach of children. Additionally, it includes a controlled room temperature reference and a lot number for tracking purposes.*

5mg 30 Tablets - 5 mg 30 tablets

5mg 30 Tablets - 5 mg 30 tablets

This text provides information about a medication containing Bisoprolol fumarate, USP 5 mg. It includes details on how it should be dispensed and stored, emphasizing the need for a tight, light-resistant container and child-resistant packaging. It also instructs to keep the medication out of reach of children and store it at a specific temperature range. Additionally, it mentions protecting the tablets from moisture and provides manufacturing information.*

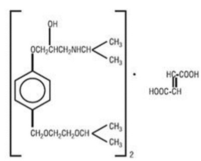
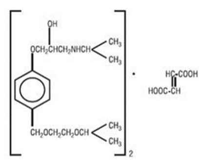
Structure - structure

Structure - structure

Table1 - tabel 1

Table1 - tabel 1

This text discusses the results of a study evaluating the effects of Bisoprolol Fumarate on blood pressure (BP) and heart rate (HR) over a period of 3 to 4 weeks. It provides data on the mean decrease in systolic/diastolic pressure and heart rate for different dosages of Bisoprolol Fumarate compared to a placebo. The study shows the total BP and HR measurements for each dosage group, as well as the drug effects observed. The information presented is focused on the change in BP and HR from baseline, highlighting the impact of Bisoprolol Fumarate compared to a placebo.*

* The product label images have been analyzed using a combination of traditional computing and machine learning techniques. It should be noted that the descriptions provided may not be entirely accurate as they are experimental in nature. Use the information in this page at your own discretion and risk.