Product Images Gabapentin

View Photos of Packaging, Labels & Appearance

Product Label Images

The following 7 images provide visual information about the product associated with Gabapentin NDC 69367-134 by Westminster Pharmaceuticals, Llc, such as packaging, labeling, and the appearance of the drug itself. This resource could be helpful for medical professionals, pharmacists, and patients seeking to verify medication information and ensure they have the correct product.

Chemical Structure - gabapentin 01

Chemical Structure - gabapentin 01

Figure 4 - gabapentin 02

Figure 4 - gabapentin 02

The text provides a table with information about the Mean Pain Score, Dose Tiation Pariod, and Fixed Dose Period for a Placebo group and a group taking 3600 mg/day of Gabapentin. The Mean Pain Score is 10, but it is not clear what scale was used. The Dose Tiation Pariod lasted for four weeks, followed by a Fixed Dose Period.*

gabapentin 03

gabapentin 03

This appears to be a chart or graph showing the results of a study on the effects of different doses of Gabapentin on pain over a 7-week period. Baseline pain scores were taken and then two different doses of Gabapentin were given daily (1800 mg/day and 2400 mg/day) for a fixed period of 4 weeks. Mean pain scores were then recorded over the remaining 3 weeks of the study.*

gabapentin 04

gabapentin 04

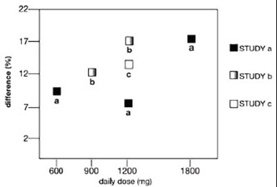
The text appears to be a part of a graph/chart description showing the proportion of patients who responded to treatment (pain reduction) in two controlled studies of PHN (postherpetic neuralgia). The graph indicates that Study 1 had a response rate of 34% while Study 2 had a response rate of 20%. The text also includes the names of medications used in these studies - Pregabalin (P) and Gabapentin (GP), along with their dosages (PEO GBP 1800, GBP 2400, PBO GBP 3600).*

gabapentin 05

gabapentin 05

gabapentin 06

gabapentin 06

Each tablet of this medication contains 600mg of gabapentin, which is used for managing seizures and nerve pain. The recommended dosage of this medication should be taken as directed by your doctor. Be sure to read the prescribing information provided before taking. You should store this medication at room temperature, preferably at 20 to 25°C (68° to 77°F), and it should be kept in a tightly sealed container out of the reach of children. This medication is manufactured by ScleGen Pharmaceuticals, Inc. and distributed by Westminster Pharmaceuticals in the USA. It comes with a medication guide for patients, and it is dispensed in a child-resistant container.*

gabapentin 07

gabapentin 07

Each film-coated tablet of Gabapentin contains 800 mg of gabapentin, USP. It is recommended to read the prescribing information for the usual dosage. The tablets should be stored at 20° to 25°C (68° to 77°F) with excursions permitted for 15° to 30°C (59° to 86°F). Dispense in a tight container with a child-resistant closure (as required). A Medication Guide should be provided to each patient by a pharmacist when dispensing Gabapentin Tablets. Keep this and all medications out of the reach of children. Manufactured by ScleraGen Pharmaceuticals, Inc. with a revision date of 11/20, and 500 tablets per bottle. It is manufactured for Westminster Pharmaceuticals, LLC in Nashville, TN 37217, with NDC 69367-135-06.*

* The product label images have been analyzed using a combination of traditional computing and machine learning techniques. It should be noted that the descriptions provided may not be entirely accurate as they are experimental in nature. Use the information in this page at your own discretion and risk.