Product Images Aripiprazole
View Photos of Packaging, Labels & Appearance
Product Label Images
The following 11 images provide visual information about the product associated with Aripiprazole NDC 69452-338 by Bionpharma Inc., such as packaging, labeling, and the appearance of the drug itself. This resource could be helpful for medical professionals, pharmacists, and patients seeking to verify medication information and ensure they have the correct product.
Figure 1 - figure 1

This text contains information on different drugs and their effects on the human body. It mentions keloconazole and quinicine as CYP3A4 and CYP2D6 inhibitors, respectively, while carbamazepine is listed as a CYP3A4 inducer. Famolidine is said to be one of the gastric acid blockers. The text also provides some data on avipiprazole fold change and 90% CI. Overall, it appears to be a list of drugs and their pharmacological properties.*
Figure 2 - figure 2

This is a table with information about various drugs and their effects on certain enzymes and conditions in the body. It includes inhibitors and inducers for the enzymes CYP3A4 and CYP2D6, gastric acid blockers, and other drugs such as quinine and lorazepam. The latter part of the text displays a graph of fold change in the presence of an interacting drug for Dehydro-Arpiprazol with its 90% CI.*
Figure 4 - figure 4

The text seems to represent medical data. It mentions genetic variations related to CYP2D6 enzyme metabolism, gender, age, and liver and renal impairment in relation to drug exposure. However, due to the lack of punctuation and sentence structure, it is difficult to extract clear information or provide a useful description. Therefore, it is not possible to provide a meaningful summary.*
Figure 5 - figure 5

This is a table containing information about the effects of several variables on the Area Under the Curve (AUC) and Maximum Concentration (Cmax) of the drug Aripiprazole. The variables evaluated are CYP206 genotype (poor vs. extensive metabolizer), gender (female vs. male), age (18-64 years old vs. >85 years old), hepatic impairment (mild, moderate, and severe vs. normal) and renal impairment (severe). The table also presents the Dehydro-Aripiprazole Fold Change and 90% Confidence Interval relative to the reference condition.*
Figure 8 - figure 8

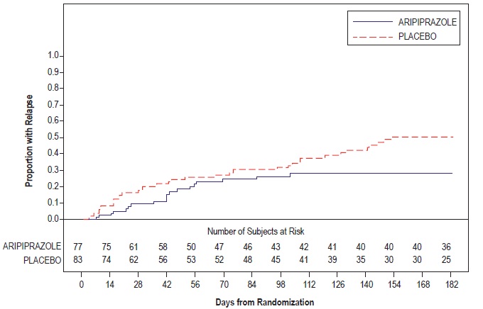
This appears to be a table showing the proportion of subjects with relapse in a study comparing Aripiprazole and Placebo over time. The table also includes the number of subjects at risk over time for both groups. The text might be part of a research report or clinical trial data.*
label10 - label 10

This is a description of Aripiprazole, an orally disintegrating tablet that is dispensed by a pharmacist with a medication guide to each patient. The tablet contains 10 mg of aripiprazole, USP and is to be dispensed in a tight container with child-resistant closure. The package features a child-resistant cap and should be stored within a temperature range of 20°C to 25°C. The drug should be kept out of reach of children and not accepted if the inner seal of the bottle is broken or missing. Bionpharma Inc. distributes the drug, and it is made in India. No additional information could be obtained from the output.*
label15 - label 15

This is a medication called Aripiprazole, in the form of orally disintegrating tablets. Each tablet contains 15mg of Aripiprazole USP, and the package contains 30 tablets. The medication guide should be provided separately to each patient by the pharmacist. The tablets should be kept in a tight container with child-resistant closure and stored at 20°C to 25°C, with excursions permitted within 15°C to 30°C. The drug should be kept out of reach of children, and the inner seal of the bottle should not be broken or missing. The drug is distributed by Bionpharma Inc. and is made in India. Lot number and other information are also printed on the package.*
* The product label images have been analyzed using a combination of traditional computing and machine learning techniques. It should be noted that the descriptions provided may not be entirely accurate as they are experimental in nature. Use the information in this page at your own discretion and risk.