FDA Label for Neomycin And Polymyxin B Sulfates, Bacitracin Zinc
View Indications, Usage & Precautions
- DESCRIPTION
- CLINICAL PHARMACOLOGY
- INDICATIONS & USAGE
- CONTRAINDICATIONS
- WARNINGS
- GENERAL
- INFORMATION FOR PATIENTS
- CARCINOGENESIS & MUTAGENESIS & IMPAIRMENT OF FERTILITY
- PREGNANCY
- NURSING MOTHERS
- PEDIATRIC USE
- ADVERSE REACTIONS
- DOSAGE & ADMINISTRATION
- HOW SUPPLIED
- PACKAGE LABEL.PRINCIPAL DISPLAY PANEL
Neomycin And Polymyxin B Sulfates, Bacitracin Zinc Product Label
The following document was submitted to the FDA by the labeler of this product Casper Pharma Llc. The document includes published materials associated whith this product with the essential scientific information about this product as well as other prescribing information. Product labels may durg indications and usage, generic names, contraindications, active ingredients, strength dosage, routes of administration, appearance, warnings, inactive ingredients, etc.
Description
Neomycin and Polymyxin B Sulfates and Bacitracin Zinc Ophthalmic Ointment, USP is a sterile antimicrobial ointment for ophthalmic use. Each gram contains:neomycin sulfate equivalent to 3.5 mg neomycin base, polymyxin B sulfate equivalent to 10,000 polymyxin B units, and bacitracin zinc equivalent to 400 bacitracin units and petrolatum q.s.
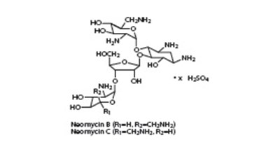
Neomycin sulfate is the sulfate salt of neomycin B and C, which are produced by the growth of Streptomyces fradiae Waksman (Fam. Streptomycetaceae). It has a potency equivalent of not less than 600 micrograms of neomycin standard per mg, calculated on an anhydrous basis. The structural formulae are:
Polymyxin B sulfate is the sulfate salt of polymyxin B1 and B2 which are produced by the growth of Bacillus polymyxa (Prazmowski) Migula (Fam. Bacillaceae). It has a potency of not less than 6,000 polymyxin B units per mg, calculated on an anhydrous basis. The structural formulae are:
Bacitracin zinc is the zinc salt of bacitracin, a mixture of related cyclic polypeptides (mainly bacitracin A) produced by the growth of an organism of the licheniformis group of Bacillus subtilis var Tracy. It has a potency of not less than 40 bacitracin units per mg. The structural formula is:
Clinical Pharmacology
A wide range of antibacterial action is provided by the overlapping spectra of neomycin, polymyxin B sulfate, and bacitracin.
Neomycin is bactericidal for many gram-positive and gram-negative organisms. It is an aminoglycoside antibiotic which inhibits protein synthesis by binding with ribosomal RNA and causing misreading of the bacterial genetic code.
Polymyxin B is bactericidal for a variety of gram-negative organisms. It increases the permeability of the bacterial cell membrane by interacting with the phospholipid components of the membrane.
Bacitracin is bactericidal for a variety of gram-positive and gram-negative organisms. It interferes with bacterial cell wall synthesis by inhibition of the regeneration of phospholipid receptors involved in peptidoglycan synthesis.
Microbiology
Neomycin sulfate, polymyxin B sulfate and bacitracin zinc together are considered active against the following microorganisms: Staphylococcus aureus, streptococci including Streptococcus pneumoniae, Escherichia coli, Haemophilus influenzae, Klebsiella/Enterobacter species, Neisseria species, and Pseudomonas aeruginosa. The product does not provide adequate coverage against Serratia marcescens.
Indications & Usage
Neomycin and polymyxin B sulfates and bacitracin zinc ophthalmic ointment is indicated for the topical treatment of superficial infections of the external eye and its adnexa caused by susceptible bacteria. Such infections encompass conjunctivitis, keratitis and keratoconjunctivitis, blepharitis and blepharoconjunctivitis.
Contraindications
Neomycin and polymyxin B sulfates and bacitracin zinc ophthalmic ointment is contraindicated in individuals who have shown hypersensitivity to any of its components.
Warnings
NOT FOR INJECTION INTO THE EYE. Neomycin and polymyxin B sulfates and bacitracin zinc ophthalmic ointment should never be directly introduced into the anterior chamber of the eye. Ophthalmic ointments may retard corneal wound healing.
Topical antibiotics, particularly neomycin sulfate, may cause cutaneous sensitization. A precise incidence of hypersensitivity reactions (primarily skin rash) due to topical antibiotics is not known. The manifestations of sensitization to topical antibiotics are usually itching, reddening, and edema of the conjunctiva and eyelid. A sensitization reaction may manifest simply as a failure to heal. During long-term use of topical antibiotic products, periodic examination for such signs is advisable, and the patient should be told to discontinue the product if they are observed. Symptoms usually subside quickly on withdrawing the medication. Application of products containing these ingredients should be avoided for the patient thereafter (see PRECAUTIONS: General).
General
As with other antibiotic preparations, prolonged use of neomycin and polymyxin B sulfates and bacitracin zinc ophthalmic ointment may result in overgrowth of nonsusceptible organisms including fungi. If superinfection occurs, appropriate measures should be initiated.
Bacterial resistance to neomycin and polymyxin B sulfates and bacitracin zinc ophthalmic ointment may also develop. If purulent discharge, inflammation, or pain becomes aggravated, the patient should discontinue use of the medication and consult a physician.
There have been reports of bacterial keratitis associated with the use of topical ophthalmic products in multiple-dose containers which have been inadvertently contaminated by patients, most of whom had a concurrent corneal disease or a disruption of the ocular epithelial surface (see PRECAUTIONS: Information for Patients).
Allergic cross-reactions may occur which could prevent the use of any or all of the following antibiotics for the treatment of future infections: kanamycin, paromomycin, streptomycin, and possibly gentamicin.
Information For Patients
Patients should be instructed to avoid allowing the tip of the dispensing container to contact the eye, eyelid, fingers, or any other surface. The use of this product by more than one person may spread infection.
Patients should also be instructed that ocular products, if handled improperly, can become contaminated by common bacteria known to cause ocular infections. Serious damage to the eye and subsequent loss of vision may result from using contaminated products (see PRECAUTIONS: General).
If the condition persists or gets worse, or if a rash or allergic reaction develops, the patient should be advised to stop use and consult a physician. Do not use this product if you are allergic to any of the listed ingredients.
Keep tightly closed when not in use. Keep out of reach of children.
Carcinogenesis & Mutagenesis & Impairment Of Fertility
Long-term studies in animals to evaluate carcinogenic or mutagenic potential have not been conducted with polymyxin B sulfate or bacitracin. Treatment of cultured human lymphocytes in vitro with neomycin increased the frequency of chromosome aberrations at the highest concentration (80 µg/mL) tested; however, the effects of neomycin on carcinogenesis and mutagenesis in humans are unknown.
Polymyxin B has been reported to impair the motility of equine sperm, but its effects on male or female fertility are unknown. No adverse effects on male or female fertility, litter size or survival were observed in rabbits given bacitracin zinc 100 gm/ton of diet.
Pregnancy
Teratogenic Effects: Pregnancy Category C. Animal reproduction studies have not been conducted with neomycin sulfate, polymyxin B sulfate, or bacitracin. It is also not known whether neomycin and polymyxin B sulfates and bacitracin zinc ophthalmic ointment can cause fetal harm when administered to a pregnant woman or can affect reproduction capacity. Neomycin and polymyxin B sulfates and bacitracin zinc ophthalmic ointment should be given to a pregnant woman only if clearly needed.
Nursing Mothers
It is not known whether this drug is excreted in human milk. Because many drugs are excreted in human milk, caution should be exercised when neomycin and polymyxin B sulfates and bacitracin zinc ophthalmic ointment is administered to a nursing woman.
Pediatric Use
Safety and effectiveness in children have not been established.
Adverse Reactions
Adverse reactions have occurred with the anti-infective components of neomycin and polymyxin B sulfates and bacitracin zinc ophthalmic ointment. The exact incidence is not known. Reactions occurring most often are allergic sensitization reactions including itching, swelling, and conjunctival erythema (see WARNINGS). More serious hypersensitivity reactions, including anaphylaxis, have been reported rarely.
Local irritation on instillation has also been reported.
To report SUSPECTED ADVERSE REACTIONS, contact Casper Pharma LLC. at 1-844-5-CASPER (1-844-522-7737) or FDA at 1-800-FDA-1088 or www.fda.gov/medwatch.
Dosage & Administration
Apply the ointment every 3 or 4 hours for 7 to 10 days, depending on the severity of the infection.
How Supplied
Neomycin and Polymyxin B Sulfates and Bacitracin Zinc Ophthalmic Ointment, USP is supplied in a tube of 1/8 oz (3.5 g) with an ophthalmic tip (NDC 70199-010-53).
Caution: Federal law prohibits dispensing without a prescription.
Store at 15° - 25°C (59°- 77°F).
Rx only
FOR OPHTHALMIC USE ONLY
KEEP OUT OF REACH OF CHILDREN.
Manufactured for:
Casper Pharma LLC
East Brunswick, NJ 08816
Issued: 03/2017
PIB01053-00
Made in Canada
Package Label.Principal Display Panel
Neomycin and Polymyxin B Sulfates and Bacitracin Zinc Ophthalmic Ointment, USP is supplied in a tube of 1/8 oz (3.5 g) with an ophthalmic tip (NDC 70199-010-53).
Rx only
FOR OPHTHALMIC USE ONLY
KEEP OUT OF REACH OF CHILDREN.
* Please review the disclaimer below.

