Product Images Micafungin

View Photos of Packaging, Labels & Appearance

Product Label Images

The following 5 images provide visual information about the product associated with Micafungin NDC 70377-076 by Biocon Pharma Inc., such as packaging, labeling, and the appearance of the drug itself. This resource could be helpful for medical professionals, pharmacists, and patients seeking to verify medication information and ensure they have the correct product.

container-100-mg-vial - 100 mg vial container

container-100-mg-vial - 100 mg vial container

This is a description of Micafungin for Injection, USP in the form of a single-dose vial containing 100 mg/vial of micafungin. Upon reconstitution, each milliliter (mL) has 20 mg of micafungin. It is meant for intravenous infusion only. The vial should be discarded if any portion is left unused. The formulation includes micafungin sodium, lactose monohydrate for pH adjustment, and other ingredients. Detailed instructions for dosage, reconstitution, and dilution can be found in the package insert. Storage should be at 25°C (77°F) with excursions permitted between 15-30°C (59-86°F). The product is light-protected, preservative-free, and sterile. It is manufactured by Immacule Lifesciences Pvt. Ltd. in India and is distributed by Biocon Pharma Inc. in the USA.*

container-50-mg-vial - 50 mg vial container

container-50-mg-vial - 50 mg vial container

This is a description of a medication called Micafungin for Injection. Each vial contains 50 mg of micafungin after reconstitution. It is meant for Intravenous Infusion only. The vial also contains sodium USP, lactose monohydrate, and other ingredients. The medication should be stored at 25°C with excursions permitted between 15°C to 30°C. It is preservative-free and sterile. It is manufactured by Immacule Lifesciences Pvt. Ltd in India. Follow package insert instructions for dosage, reconstitution, and dilution.*

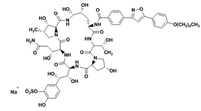
Micafungin sodium structural formula - image 01

Micafungin sodium structural formula - image 01

Carton 50 mg/vial - image 02

Carton 50 mg/vial - image 02

The text contains information about Micafungin for Injection, USP. It includes details about the dosage, storage conditions, reconstitution instructions, and manufacturer information. Micafungin is a medication used for intravenous infusion and comes in single-dose vials. The text also mentions that the medication is sterile, nonpyrogenic, preservative-free, and should be protected from light. Additionally, it provides guidelines for discarding any unused portion of the medication. The product details include the amount of micafungin in each vial and the ingredients present in the solution.*

Carton 100 mg/vial - image 03

Carton 100 mg/vial - image 03

This text contains details about Micafungin for Injection, USP in a 100 mg/vial single-dose vial intended for intravenous infusion only. It provides instructions on storage conditions, reconstitution, dilution, and discarding unused portions. The product contains Micafungin Sodium USP and lactose monohydrate along with other components. The text includes important information like NDC number, expiration date, lot number, manufacturer details, and codes for tracking.*

* The product label images have been analyzed using a combination of traditional computing and machine learning techniques. It should be noted that the descriptions provided may not be entirely accurate as they are experimental in nature. Use the information in this page at your own discretion and risk.