Product Images Mycophenolic Acid

View Photos of Packaging, Labels & Appearance

Product Label Images

The following 3 images provide visual information about the product associated with Mycophenolic Acid NDC 70377-126 by Biocon Pharma Inc., such as packaging, labeling, and the appearance of the drug itself. This resource could be helpful for medical professionals, pharmacists, and patients seeking to verify medication information and ensure they have the correct product.

Bottle label - image01

Bottle label - image01

This text provides detailed information about a medication called Mycophenolate sodium, USP, contained in delayed-release tablets. The dosage and storage instructions, as well as manufacturing details, are included. It is important to dispense the medication at the appropriate temperature and protect it from moisture. The text also emphasizes keeping the medication out of the reach of children and includes contact information for the manufacturers.*

Bottle label - image02

Bottle label - image02

This is a description of Mycophenolic Acid Delayed-Release Tablets, USP, containing 120 tablets each with mycophenolic acid 360 mg. Manufactured for Biocon Pharma Inc. They are intended for prescription use only and should be stored between 15°C and 30°C. The pharmacist is instructed to provide a Medication Guide to each patient, and the tablets should be dispensed in a tight container to protect from moisture and kept out of children's reach. The usual dosage information can be found in the package insert.*

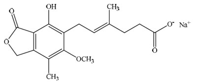
image description - structure0001

image description - structure0001

* The product label images have been analyzed using a combination of traditional computing and machine learning techniques. It should be noted that the descriptions provided may not be entirely accurate as they are experimental in nature. Use the information in this page at your own discretion and risk.