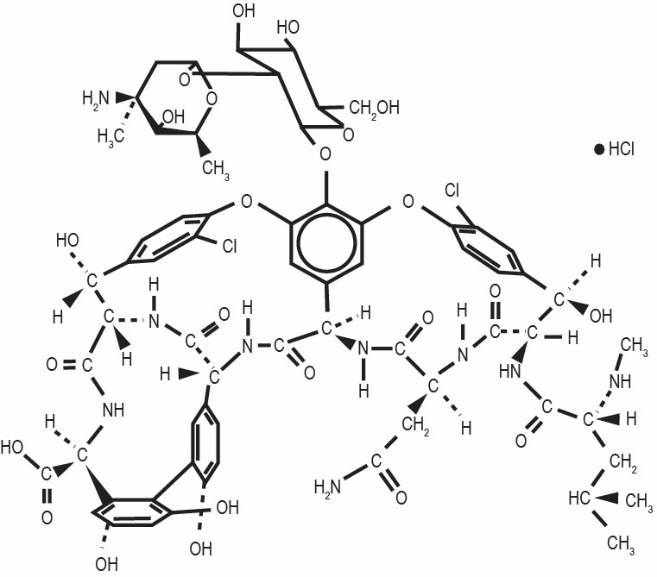
Product Images Vancomycin Hydrochloride
View Photos of Packaging, Labels & Appearance
Product Label Images
The following 3 images provide visual information about the product associated with Vancomycin Hydrochloride NDC 70436-021 by Slate Run Pharmaceuticals, Llc, such as packaging, labeling, and the appearance of the drug itself. This resource could be helpful for medical professionals, pharmacists, and patients seeking to verify medication information and ensure they have the correct product.
image 02

This is a label for a vial of Vancomycin, an antibiotic medication used to treat serious bacterial infections. The vial contains 500 mg of the medication. The label also includes some information about the manufacturer and batch number of the medication. However, it is not clear what the text "Coating free area for Exp, Lot Doss Not Print" means.*
image 03

This is a medication label for Vancomycin Hydrochloride for Injection. The label includes information on dosage, administration, and precautions. It also warns that the medication must be diluted before use.*
* The product label images have been analyzed using a combination of traditional computing and machine learning techniques. It should be noted that the descriptions provided may not be entirely accurate as they are experimental in nature. Use the information in this page at your own discretion and risk.