Product Images Memantine Hydrochloride
View Photos of Packaging, Labels & Appearance
Product Label Images
The following 11 images provide visual information about the product associated with Memantine Hydrochloride NDC 70436-056 by Slate Run Pharmaceuticals, Llc, such as packaging, labeling, and the appearance of the drug itself. This resource could be helpful for medical professionals, pharmacists, and patients seeking to verify medication information and ensure they have the correct product.
14mg-30ct - 14mg 30ct

Reonty is a drug that comes in extended release capsules. Each capsule contains 14 mg of memantine hydrochloride, and usual dosage should be followed according to the package insert. It is important to keep this drug out of the reach of children, and to store it in a tightly closed container between 15°C to 30°C. This drug is distributed by Skate Run Pharmaceuticals. The NDC code for this drug is 70436-055-04.*
14mg-90ct - 14mg 90ct

Each capsule of Reonly contains 14mg of memantine hydrochloride. It is an extended-release capsule and should be kept out of reach of children. It should be stored tightly in a container as described in the USP with a child-resistant closure. It should be stored at a controlled room temperature between 15° C to 30°C (50° to 86°F). It is manufactured in China by Yichang Humanwel Oral Solid Dosage Plant and distributed by Slate Run Pharmaceuticals, LLC.*
21mg-30ct - 21mg 30ct

Each capsule is an extended-release formulation of Memantine Hydrochloride. It is important to keep this and all drugs out of reach of children. The capsules come in a container that meets USP standards and has a child-resistant closure. The storage temperature for the capsules is between 15° to 30°C (59° to 86°F). This drug is manufactured by Yichang Humarwel and distributed by Slate Run Pharmaceuticals LLC, Columbus, Ohio. Unfortunately, there seems to be an error in the text, Rosny jouahs?t moinenarine, which makes it difficult to determine the intended message.*
image description - 28mg 30ct

NDC 70436-057-04 is a medication called Memantine Hydrochloride Extended-Release Capsules manufactured by Slate Run Pharmaceuticals. It comes in a bottle of 30 capsules and each capsule contains 28mg of memantine hydrochloride. Its usual dosage is indicated in the package insert for full prescribing information. It is crucial to keep this medication out of reach of children and store it tightly closed at USP Controlled Room Temperature. Dispense using a chiresisant closure. It is distributed by Slate Run Pharmaceuticals, LLC in Columbus, Ohio.*
image description - 28mg 90ct

Each capsule of Reonly contains 28mg of memantine hydrochloride. It is an extended-release medication and comes in a tightly closed container with a child-resistant closure. The recommended storage temperature is between 15°C to 30°C. The manufacturer is Yichang Humarwell Oral Solid Dosage Plant located in Vichang, Hubei, China. Reonly is distributed by Slate Run Pharmaceuticals in Columbus, Ohio. For further details, please refer to the Memantine Prescribing Information package insert.*
7mg-30ct - 7mg 30ct

Each extended-release capsule contains 7 mg of memantine hydrochloride. It is important to keep this drug out of reach of children. The capsules should be stored at a temperature between 15°C and 30°C. They come in a container with a resistant closure and have been distributed by Slate Run Pharmaceuticals. The NDC number is 70436-054-04.*
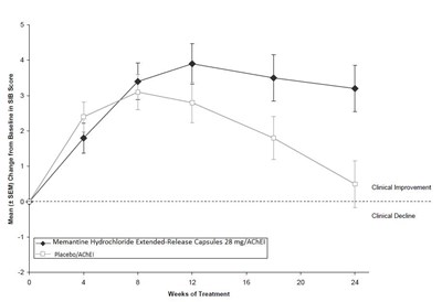
figure 1 - figure 1

This data shows the mean change from baseline in SIB score for patients taking different treatments over a period of 24 weeks. The treatments evaluated are Extended-Release Capsules 28 mg/AChET, Memantine Hydrochloride, and placebo/AChEl. The results show both clinical improvement and decline in patients taking these treatments.*
figure 2 - figure 2

This is a graph that shows the cumulative percentage of patients taking either Memantine Hydrochloride Extended-Release Capsules or Placebo, based on their SIB score change from baseline. The graph shows that a higher percentage of patients taking Memantine Hydrochloride saw a positive change in their SIB score compared to those taking Placebo.*
figure 4 - figure 4

The text provided does not give enough information to generate a useful description. It appears to be a table or chart showing data related to patients, medications, and ratings, but without context, it is not clear what the data represents or how it should be interpreted.*
* The product label images have been analyzed using a combination of traditional computing and machine learning techniques. It should be noted that the descriptions provided may not be entirely accurate as they are experimental in nature. Use the information in this page at your own discretion and risk.