Product Images Erythromycin

View Photos of Packaging, Labels & Appearance

Product Label Images

The following 2 images provide visual information about the product associated with Erythromycin NDC 70518-0392 by Remedyrepack Inc., such as packaging, labeling, and the appearance of the drug itself. This resource could be helpful for medical professionals, pharmacists, and patients seeking to verify medication information and ensure they have the correct product.

Remedy_Label - Remedy Label

Remedy_Label - Remedy Label

This is a description of Erythromycin, an ophthalmic (eye) ointment. The ointment contains 5mg of Erythromycin per 1g. The package includes 3.59g (1/8 oz) of the ointment. It is advised to avoid excessive heat and protect it from freezing. The product is distributed by Orépack and is available only with a prescription (RX ONLY). The National Drug Code (NDC) for this product is 70518-0392-00. The manufacturer is Perrigo, located in Minneapolis, MN 55427. It is essential to keep this medication out of the reach of children. The directions for use can be found in the package insert. The ointment should be stored at temperatures between 20-25°C (58-77°F) with excursions allowed to 15.30°C (59-86°F) based on USP guidelines. The product has been repackaged by RemedyRepack nc., located in Indiana, PA 15701, and their contact number is 724.465.8762.*

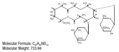
image 01

image 01

This text appears to be a description of a molecular formula and weight. The molecular formula is C5HgNO, and the molecular weight is 733.94.*

* The product label images have been analyzed using a combination of traditional computing and machine learning techniques. It should be noted that the descriptions provided may not be entirely accurate as they are experimental in nature. Use the information in this page at your own discretion and risk.