Product Images Tamsulosin Hydrochloride

View Photos of Packaging, Labels & Appearance

Product Label Images

The following 7 images provide visual information about the product associated with Tamsulosin Hydrochloride NDC 70518-1417 by Remedyrepack Inc., such as packaging, labeling, and the appearance of the drug itself. This resource could be helpful for medical professionals, pharmacists, and patients seeking to verify medication information and ensure they have the correct product.

Tamsulosin HCl 0.4mg 70518 1417 01

Tamsulosin HCl 0.4mg 70518 1417 01

This is a prescription drug in capsule form called Tamsulosin HCI 0.4 mg. It comes in a bottle of 30 capsules with an NDC number of 70518-1417-01, and a LOT number and expiration date. The medication should be stored at temperatures between 20-25°C (B-77°F), with excursions permitted at 15-30°C (59-26°F), and kept out of reach of children. It was manufactured in Gujarat, India by Sun Pharma Ind. Ltd and repackaged by RemedyRepack Ine. Directions for use can be found in the package insert.*

figure-1 - tamsulosin fig1

figure-1 - tamsulosin fig1

figure-2A - tamsulosin fig2A

figure-2A - tamsulosin fig2A

This appears to be a graph or a table showing the mean change in treatment over a duration of weeks, with different treatment types and dosages represented by symbols such as "OO=O=0.8 Mg" and "-A- £ -A0.4mg O30 Placebo". The number of participants in each treatment group is also indicated. It is not possible to determine the exact nature or purpose of the study without further context.*

figure-2B - tamsulosin fig2B

figure-2B - tamsulosin fig2B

tamsulosin-fig3A - tamsulosin fig3A

tamsulosin-fig3A - tamsulosin fig3A

tamsulosin-fig3B - tamsulosin fig3B

tamsulosin-fig3B - tamsulosin fig3B

This appears to be a chart or graph showing data related to a medical treatment that has been evaluated over a certain duration of weeks. It shows the dosage of the treatment, placebo, and the results in mL/sec. However, it is difficult to analyze without further context, and some characters are unreadable.*

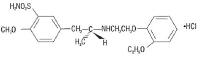
chemical-structure - tamsulosin str

chemical-structure - tamsulosin str

* The product label images have been analyzed using a combination of traditional computing and machine learning techniques. It should be noted that the descriptions provided may not be entirely accurate as they are experimental in nature. Use the information in this page at your own discretion and risk.