Product Images Dexamethasone Sodium Phosphate

View Photos of Packaging, Labels & Appearance

Product Label Images

The following 3 images provide visual information about the product associated with Dexamethasone Sodium Phosphate NDC 70518-1922 by Remedyrepack Inc., such as packaging, labeling, and the appearance of the drug itself. This resource could be helpful for medical professionals, pharmacists, and patients seeking to verify medication information and ensure they have the correct product.

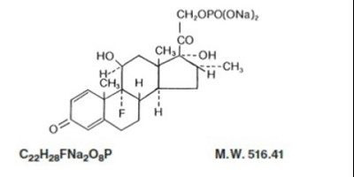
Molecular Structure - 42109b8e 9bb6 403c a82d b64cf453d7e5 01

Molecular Structure - 42109b8e 9bb6 403c a82d b64cf453d7e5 01

The text is a chemical formula with the molecular weights (M.W.) of each element. The formula is CH,OPO(ONa), Ca,H2eFNa 0P with a total molecular weight of 516.41.*

MM1 - Dexamethasone Sod Phos 10mg mL 70518 1922 00

MM1 - Dexamethasone Sod Phos 10mg  mL 70518 1922 00

Dexamethasone Sod Pho§= rxonLy is a medication stored in a 1 mL vial, manufactured by Somerset Therapeutics LLC. The medication should be kept out of the reach of children, and it is only for far LM or LV use only; it should be protected from light and stored at 20-25°C. The RemedyRepack Inc. repackaged the medication.*

Remedy_Label - Remedy Label

Remedy_Label - Remedy Label

The text provides information about a medication called Dexamethasone Sod Pho§. It comes in a 10mg/mL injection and is sold in a 1mL vial. It has specific directions for use, which can be found in the package insert. The medication must be kept away from children and protected from light. The proper storage temperature is stated, and the medication's expiration date and lot number are missing. The medication was manufactured by Somerset Therapeutics LLC in Mendham, NJ, and was repackaged by RemedyRepack Inc. in Indiana, PA 15701.*

* The product label images have been analyzed using a combination of traditional computing and machine learning techniques. It should be noted that the descriptions provided may not be entirely accurate as they are experimental in nature. Use the information in this page at your own discretion and risk.