Product Images Omeprazole

View Photos of Packaging, Labels & Appearance

Product Label Images

The following 2 images provide visual information about the product associated with Omeprazole NDC 70518-2295 by Remedyrepack Inc., such as packaging, labeling, and the appearance of the drug itself. This resource could be helpful for medical professionals, pharmacists, and patients seeking to verify medication information and ensure they have the correct product.

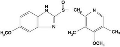
structure - Omeprazole 01

structure - Omeprazole 01

Remedy_Label - Remedy Label

Remedy_Label - Remedy Label

This is a description of a medication called Omeprazole. This specific package contains 30 capsules, each with a delayed-release of 20 mg. The NDC number is 70518-2295-00 and the lot number and expiration date are not available in the text. The medication was manufactured by Sandoz Inc. Keep the medication out of reach of children. For usage information, refer to the package insert. The medication should be stored between 20-26°C (63-77°F), with excursions permitted up to 15-30°C (59-86°F), as per the USP regulations. This medication was repackaged by RemedyRepack Inc. in Indiana.*

* The product label images have been analyzed using a combination of traditional computing and machine learning techniques. It should be noted that the descriptions provided may not be entirely accurate as they are experimental in nature. Use the information in this page at your own discretion and risk.