Product Images Atropine Sulfate

View Photos of Packaging, Labels & Appearance

Product Label Images

The following 2 images provide visual information about the product associated with Atropine Sulfate NDC 70518-3120 by Remedyrepack Inc., such as packaging, labeling, and the appearance of the drug itself. This resource could be helpful for medical professionals, pharmacists, and patients seeking to verify medication information and ensure they have the correct product.

Remedy_Label - Remedy Label

Remedy_Label - Remedy Label

Description: Atropine Sulfate is a medication used for intravenous use that is available in a 1mg/10mL (0.1mg/mL) strength. It is manufactured by International Medication Systems in EI Monte, CA. The medication comes in a luer-lock pre-filled syringe and is intended for use in medical settings. It is important to keep this medication out of reach of children. The expiration date and lot number are not available from the provided text. The medication should be stored at a temperature of 20-26°C (63-77°F), with excursions permitted to 16-30°C (59-86°F) as per USP guidelines. The text also mentions that the medication was repackaged by RemeyRepackine in Indiana, PA. Overall, this information provides some details about Atropine Sulfate but is missing key information such as expiration date and lot number.*

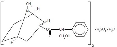
structure1 - structure1

structure1 - structure1

* The product label images have been analyzed using a combination of traditional computing and machine learning techniques. It should be noted that the descriptions provided may not be entirely accurate as they are experimental in nature. Use the information in this page at your own discretion and risk.