Product Images Amoxicillin

View Photos of Packaging, Labels & Appearance

Product Label Images

The following 2 images provide visual information about the product associated with Amoxicillin NDC 70518-3294 by Remedyrepack Inc., such as packaging, labeling, and the appearance of the drug itself. This resource could be helpful for medical professionals, pharmacists, and patients seeking to verify medication information and ensure they have the correct product.

Remedy_Label - Remedy Label

Remedy_Label - Remedy Label

This is a description of a product containing 30 capsules of Amoxicillin 500mg. It is for prescription-only use and must be kept out of reach of children. The package insert should be consulted for directions on use. The drug was manufactured by Rising Pharma, Inc. in Allendale, NJ and repackaged by RemedyRepack Inc. in Indiana, PA. Storage should be at controlled room temperature. The NDC number is provided for identification purposes. The lot number and expiration date are not available.*

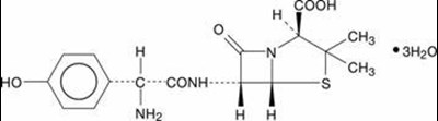
Chemical Structure - amoxicillin str

Chemical Structure - amoxicillin str

* The product label images have been analyzed using a combination of traditional computing and machine learning techniques. It should be noted that the descriptions provided may not be entirely accurate as they are experimental in nature. Use the information in this page at your own discretion and risk.