FDA Label for Orphenadrine Citrate
View Indications, Usage & Precautions
Orphenadrine Citrate Product Label
The following document was submitted to the FDA by the labeler of this product Remedyrepack Inc.. The document includes published materials associated whith this product with the essential scientific information about this product as well as other prescribing information. Product labels may durg indications and usage, generic names, contraindications, active ingredients, strength dosage, routes of administration, appearance, warnings, inactive ingredients, etc.
Description
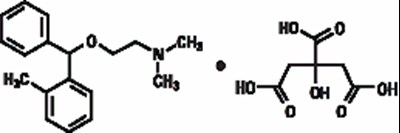
Orphenadrine citrate is the citrate salt of orphenadrine (±)- N, N-dimethyl-2-[( o-methyl-α-phenylbenzyl)oxy]-ethylamine citrate (1:1). It occurs as a white, crystalline powder having a bitter taste. It is practically odorless; sparingly soluble in water, slightly soluble in alcohol.
Each vial contains 60 mg of orphenadrine citrate in aqueous solution. Each vial also contains: sodium metabisulfite, 2 mg; sodium chloride, 5.8 mg; sodium hydroxide, to adjust pH; and water for injection, q.s. to 2 mL. The structural formula is:
C 18H 23NO•C 6H 8O 7 MW 461.50
Clinical Pharmacology
The mode of therapeutic action has not been clearly identified, but may be related to its analgesic properties. Orphenadrine citrate does not directly relax tense muscles in man. Orphenadrine citrate also possesses anticholinergic actions.
Indications And Usage
Orphenadrine citrate is indicated as an adjunct to rest, physical therapy, and other measures for the relief of discomfort associated with acute painful musculoskeletal conditions.
Contraindications
Contraindicated in patients with glaucoma, pyloric or duodenal obstruction, stenosing peptic ulcers, prostatic hypertrophy or obstruction of the bladder neck, cardio-spasm (megaesophagus) and myasthenia gravis.
Contraindicated in patients who have demonstrated a previous hypersensitivity to the drug.
Warnings
Some patients may experience transient episodes of light-headedness, dizziness or syncope. Orphenadrine citrate may impair the ability of the patient to engage in potentially hazardous activities such as operating machinery or driving a motor vehicle; ambulatory patients should therefore be cautioned accordingly.
Orphenadrine citrate injection contains sodium metabisulfite, a sulfite that may cause allergic-type reactions including anaphylactic symptoms and life-threatening or less severe asthmatic episodes in certain susceptible people. The overall prevalence of sulfite sensitivity in the general population is unknown and probably low. Sulfite sensitivity is seen more frequently in asthmatic than nonasthmatic people.
Precautions
Confusion, anxiety and tremors have been reported in few patients receiving propoxyphene and orphenadrine concomitantly. As these symptoms may be simply due to an additive effect, reduction of dosage and/or discontinuation of one or both agents is recommended in such cases.
Orphenadrine citrate should be used with caution in patients with tachycardia, cardiac decompensation, coronary insufficiency, cardiac arrhythmias.
Safety of continuous long-term therapy with orphenadrine has not been established. Therefore, if orphenadrine is prescribed for prolonged use, periodic monitoring of blood, urine and liver function values is recommended.
Teratogenic Effects
Pregnancy Category C
Animal reproduction studies have not been conducted with orphenadrine. It is also not known whether orphenadrine can cause fetal harm when administered to a pregnant woman or can affect reproduction capacity. Orphenadrine should be given to a pregnant woman only if clearly needed.
Pediatric Use
Safety and effectiveness in children have not been established; therefore, this drug is not recommended for use in the pediatric age group.
Adverse Reactions
Adverse reactions of orphenadrine are mainly due to the mild anticholinergic action of orphenadrine, and are usually associated with higher dosage. Dryness of the mouth is usually the first adverse effect to appear. When the daily dose is increased, possible adverse effects include: tachycardia, palpitation, urinary hesitancy or retention, blurred vision, dilatation of pupils, increased ocular tension, weakness, nausea, vomiting, headache, dizziness, constipation, drowsiness, hypersensitivity reactions, pruritus, hallucinations, agitation, tremor, gastric irritation, and rarely urticaria and other dermatoses. Infrequently, an elderly patient may experience some degree of mental confusion. These adverse reactions can usually be eliminated by reduction in dosage. Very rare cases of aplastic anemia associated with the use of orphenadrine tablets have been reported. No causal relationship has been established.
Rare instances of anaphylactic reaction have been reported associated with the intramuscular injection of orphenadrine citrate.
Drug Abuse And Dependence
Orphenadrine has been chronically abused for its euphoric effects. The mood elevating effects may occur at therapeutic doses of orphenadrine.
Overdosage
Orphenadrine is toxic when overdosed and typically induces anticholinergic effects. In a review of orphenadrine toxicity, the minimum lethal dose was found to be 2 to 3 grams for adults; however, the range of toxicity is variable and unpredictable. Treatment for orphenadrine overdose is evacuation of stomach contents (when necessary), charcoal at repeated doses, intensive monitoring, and appropriate supportive treatment of any emergent anticholinergic effects.
Dosage And Administration
Adults - One 2 mL vial (60 mg) intravenously or intramuscularly; may be repeated every 12 hours. Relief may be maintained by one (100 mg) orphenadrine citrate tablet twice daily.
Parenteral drug products should be inspected visually for particulate matter, whenever solution and container permit.
How Supplied
Orphenadrine Citrate Injection, USP is supplied as follows:
Cartons of 10 -2 mL vials, each vial containing 60 mg of orphenadrine citrate in aqueous solution.
NDC: 70518-3823-00
NDC: 70518-3823-01
PACKAGING: 10 in 1 BOX
PACKAGING: 2 mL in 1 VIAL, TYPE 0
Storage
Store at 20° to 25°C (68° to 77°F) [See USP Controlled Room Temperature].
Protect from light.
Single dose vial. Discard unused portion.
To report SUSPECTED ADVERSE REACTIONS, contact Hikma Pharmaceuticals USA Inc. at 1-877-845-0689, or the FDA at 1-800-FDA-1088 or www.fda.gov/medwatch.
Repackaged and Distributed By:
Remedy Repack, Inc.
625 Kolter Dr. Suite #4 Indiana, PA 1-724-465-8762
Package Label.Principal Display Panel
DRUG: Orphenadrine citrate
GENERIC: Orphenadrine citrate
DOSAGE: INJECTION
ADMINSTRATION: INTRAMUSCULAR
NDC: 70518-3823-0
NDC: 70518-3823-1
PACKAGING: 2 mL in 1 VIAL
OUTER PACKAGING: 10 in 1 BOX
ACTIVE INGREDIENT(S):
- ORPHENADRINE CITRATE 60mg in 2mL
- SODIUM CHLORIDE
- SODIUM HYDROXIDE
- SODIUM METABISULFITE
- WATER
INACTIVE INGREDIENT(S):
* Please review the disclaimer below.

