Product Images Prednisone

View Photos of Packaging, Labels & Appearance

Product Label Images

The following 3 images provide visual information about the product associated with Prednisone NDC 70518-4271 by Remedyrepack Inc., such as packaging, labeling, and the appearance of the drug itself. This resource could be helpful for medical professionals, pharmacists, and patients seeking to verify medication information and ensure they have the correct product.

Remedy_Label - Remedy Label

Remedy_Label - Remedy Label

This is a description of a medication called prednisone, which is in the form of tablets with a strength of 5 mg. Each box contains 100 tablets. The medication should be protected from moisture and stored between 20-25°C (58-77°F). The manufacturer is Hikma Pharma in Amman, Jordan. The medication is for prescription use only. The package insert should be checked for directions on how to use it. It has been repackaged by RemedyRepack Inc.*

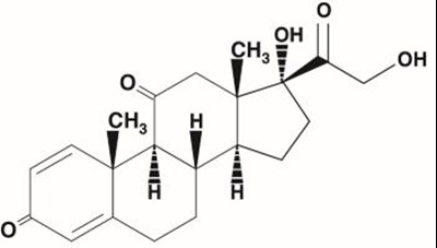
Chemical Structure - Prednisone - chem structure

Chemical Structure - Prednisone - chem structure

MM2 - predniSONE 5mg 70518 4271 01

MM2 - predniSONE 5mg 70518 4271 01

This is a prescription medication of prednisone in 5 mg tablet form, with instructions to protect it from moisture. The product is manufactured by Hikma Pharma in Amman, Jordan, with a specific NDC number provided. It is important to store the medication in a specified temperature range and keep it out of reach of children. The directions for use can be found in the package insert, and the product has been repackaged by RemedyRepack in Indiana.*

* The product label images have been analyzed using a combination of traditional computing and machine learning techniques. It should be noted that the descriptions provided may not be entirely accurate as they are experimental in nature. Use the information in this page at your own discretion and risk.