Product Images Citalopram

View Photos of Packaging, Labels & Appearance

Product Label Images

The following 2 images provide visual information about the product associated with Citalopram NDC 70518-4416 by Remedyrepack Inc., such as packaging, labeling, and the appearance of the drug itself. This resource could be helpful for medical professionals, pharmacists, and patients seeking to verify medication information and ensure they have the correct product.

Remedy_Label - Remedy Label

Remedy_Label - Remedy Label

Description: This text provides information about Citalopram Tablets, with a strength of 10 mg and a quantity of 30 tablets. It includes details on the NDC number, dosage instructions, repackaging, manufacturer information, and storage guidelines. The medication is round and brown in color, and it is important to keep it out of reach of children and store it within a specific temperature range.*

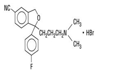
image description - structure

image description - structure

Not available.*

* The product label images have been analyzed using a combination of traditional computing and machine learning techniques. It should be noted that the descriptions provided may not be entirely accurate as they are experimental in nature. Use the information in this page at your own discretion and risk.