Product Images Vancomycin Hydrochloride

View Photos of Packaging, Labels & Appearance

Product Label Images

The following 3 images provide visual information about the product associated with Vancomycin Hydrochloride NDC 70594-045 by Xellia Pharmaceuticals Usa Llc, such as packaging, labeling, and the appearance of the drug itself. This resource could be helpful for medical professionals, pharmacists, and patients seeking to verify medication information and ensure they have the correct product.

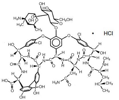
Chemical Structure - vancomycin 01

Chemical Structure - vancomycin 01

PRINCIPAL DISPLAY PANEL - 1 g Vial Carton - vancomycin 02

PRINCIPAL DISPLAY PANEL - 1 g Vial Carton - vancomycin 02

The text contains some warnings and instructions related to the dilution and precautions prior to use of an unidentified substance. The other text may be related to references or codes, so no other meaningful information can be provided.*

vancomycin 03

vancomycin 03

Vancomycin Hydrochloride for Injection is a prescription medication used for intravenous use and supplied as a 500mg per vial solution. It must be diluted before use and is available in a pack of 10 vials. It is preservative-free. The remaining text appears to be illegible due to errors.*

* The product label images have been analyzed using a combination of traditional computing and machine learning techniques. It should be noted that the descriptions provided may not be entirely accurate as they are experimental in nature. Use the information in this page at your own discretion and risk.