FDA Label for Tobramycin Inhalation Solution Pak
View Indications, Usage & Precautions
- 1 INDICATIONS AND USAGE
- 2.1 DOSING INFORMATION
- 2.2 ADMINISTRATION OF TOBRAMYCIN INHALATION SOLUTION
- 3 DOSAGE FORMS AND STRENGTH
- 4 CONTRAINDICATIONS
- 5.1 BRONCHOSPASM
- 5.2 OTOTOXICITY
- 5.3 NEPHROTOXICITY
- 5.4 NEUROMUSCULAR DISORDERS
- 5.5 EMBRYO-FETAL TOXICITY
- 5.6 CONCOMITANT USE OF SYSTEMIC AMINOGLYCOSIDES
- 6 ADVERSE REACTIONS
- 6.1 CLINICAL TRIALS EXPERIENCE
- 6.2 POSTMARKETING EXPERIENCE
- 7.1 DRUGS WITH NEUROTOXIC, NEPHROTOXIC OR OTOTOXIC POTENTIAL
- 7.2 DIURETICS
- OTHER
- 8.4 PEDIATRIC USE
- 8.5 GERIATRIC USE
- 10 OVERDOSAGE
- 11 DESCRIPTION
- 12.1 MECHANISM OF ACTION
- 13.1 CARCINOGENESIS, MUTAGENESIS, IMPAIRMENT OF FERTILITY
- 14 CLINICAL STUDIES
- 15 REFERENCES
- 16.1 HOW SUPPLIED
- 16.2 STORAGE
- 17 PATIENT COUNSELING INFORMATION
- SPL PATIENT PACKAGE INSERT
- INSTRUCTIONS FOR USE
- PRINCIPAL DISPLAY PANEL - TOBRAMYCIN INHALATION SOLUTION PAK
Tobramycin Inhalation Solution Pak Product Label
The following document was submitted to the FDA by the labeler of this product Genericus, Inc.. The document includes published materials associated whith this product with the essential scientific information about this product as well as other prescribing information. Product labels may durg indications and usage, generic names, contraindications, active ingredients, strength dosage, routes of administration, appearance, warnings, inactive ingredients, etc.
1 Indications And Usage
TOBRAMYCIN INHALATION SOLUTION PAK (co-packaging of tobramycin inhalation solution and PARI LC PLUS Reusable Nebulizer) is indicated for the management of cystic fibrosis in adults and pediatric patients 6 years of age and older with P. aeruginosa. Safety and efficacy have not been demonstrated in patients under the age of 6 years, patients with FEV1 < 25% or > 75% predicted, or patients colonized with Burkholderia cepacia [see Clinical Studies (14)].
2.1 Dosing Information
- TOBRAMYCIN INHALATION SOLUTION PAK is a co-packaging of tobramycin inhalation solution ampules with a PARI LC PLUS Reusable Nebulizer. Administer as follows: One single-use ampule (300 mg/5 mL) of tobramycin inhalation solution twice a day by oral inhalation in alternating periods of 28 days on drug, followed by 28 days off drug.
- The 300 mg/5 mL dose of tobramycin inhalation solution is the same for all patients regardless of age or weight.
- The doses should be taken as close to 12 hours apart as possible; they should not be taken less than 6 hours apart.
2.2 Administration Of Tobramycin Inhalation Solution
Each dose of tobramycin inhalation solution is administered by oral inhalation using only the co-packaged PARI LC PLUS Reusable Nebulizer (Model No. 022B81-TA) included in the TOBRAMYCIN INHALATION SOLUTION PAK, along with a DeVilbiss Pulmo-Aide air compressor (Model No. 5650D).
Tobramycin inhalation solution is not for subcutaneous, intravenous or intrathecal administration.
Prior to administration, read the Patient Information/Instructions for Use for TOBRAMYCIN INHALATION SOLUTION PAK for detailed information on how to use TOBRAMYCIN INHALATION SOLUTION PAK and follow the manufacturer's instructions for use and care of the DeVilbiss Pulmo-Aide air compressor.
The entire tobramycin inhalation solution treatment should take approximately 15 minutes to complete. Continue treatment until all the tobramycin inhalation solution has been delivered, and there is no longer any mist being produced.
Tobramycin inhalation solution should not be diluted or mixed with other drugs including dornase alfa in the nebulizer. Instruct patients on multiple therapies to take their medications prior to inhaling the tobramycin inhalation solution, or as directed by their physician.
Tobramycin inhalation solution should not be used if it is cloudy, if there are particles in the solution, or if it has been stored at room temperature for more than 28 days.
3 Dosage Forms And Strength
Inhalation solution: 300 mg/5 mL in a single-use ampule
4 Contraindications
Tobramycin inhalation solution is contraindicated in patients with a known hypersensitivity to any aminoglycoside.
5.1 Bronchospasm
Bronchospasm can occur with inhalation of tobramycin inhalation solution. In clinical studies with tobramycin inhalation solution, changes in FEV1 measured after the inhaled dose were similar in tobramycin inhalation solution and placebo groups. Bronchospasm that occurs during the use of tobramycin inhalation solution should be treated as medically appropriate.
5.2 Ototoxicity
Transient tinnitus occurred in eight tobramycin inhalation solution treated patients versus no placebo patients in the clinical studies. Tinnitus may be a sentinel symptom of ototoxicity, and therefore the onset of this symptom warrants further clinical investigation. In postmarketing experience, patients receiving tobramycin inhalation solution have reported hearing loss. Ototoxicity, manifested as both auditory and vestibular toxicity, has been reported with parenteral aminoglycosides. Vestibular toxicity may be manifested by vertigo, ataxia or dizziness. Patients with known or suspected auditory or vestibular dysfunction should be closely monitored when taking tobramycin inhalation solution. Monitoring might include obtaining audiometric evaluations and serum tobramycin levels. If ototoxicity is noted, the patient should be managed as medically appropriate, including potentially discontinuing tobramycin inhalation solution [see Adverse Reactions (6.2)].
5.3 Nephrotoxicity
Nephrotoxicity was not seen during clinical studies with tobramycin inhalation solution but has been associated with aminoglycosides as a class. Patients with known or suspected renal dysfunction or taking concomitant nephrotoxic drugs along with tobramycin inhalation solution should have serum concentrations of tobramycin and laboratory measurements of renal function obtained at the discretion of the treating physician. If nephrotoxicity develops, the patient should be managed as medically appropriate, including potentially discontinuing tobramycin inhalation solution.
5.4 Neuromuscular Disorders
Aminoglycosides, including tobramycin, may aggravate muscle weakness because of a potential curare-like effect on neuromuscular function. Neuromuscular blockade, respiratory failure, and prolonged respiratory paralysis may occur more commonly in patients with underlying neuromuscular disorders, such as myasthenia gravis or Parkinson's disease. Prolonged respiratory paralysis may also occur in patients receiving neuromuscular blocking agents. If neuromuscular blockade occurs, it may be reversed by the administration of calcium salts but mechanical assistance may be necessary.
5.5 Embryo-Fetal Toxicity
Aminoglycosides can cause fetal harm when administered to a pregnant woman. Aminoglycosides cross the placenta, and streptomycin has been associated with several reports of total, irreversible, bilateral congenital deafness in pediatric patients exposed in utero. However, systemic absorption of tobramycin following inhaled administration is expected to be minimal [see Clinical Pharmacology (12.3)]. Patients who use TOBRAMYCIN INHALATION SOLUTION PAK during pregnancy, or become pregnant while taking tobramycin inhalation solution should be apprised of the potential hazard to the fetus [see Use in Specific Populations (8.1)].
5.6 Concomitant Use Of Systemic Aminoglycosides
Patients receiving concomitant tobramycin inhalation solution and parenteral aminoglycoside therapy should be monitored as clinically appropriate for toxicities associated with aminoglycosides as a class. Serum tobramycin levels should be monitored.
6 Adverse Reactions
The following serious adverse reactions are described below and elsewhere in the labeling:
6.1 Clinical Trials Experience
Because clinical trials are conducted under widely varying conditions, adverse reaction rates observed in the clinical trials of a drug cannot be directly compared to rates in the clinical trials of another drug and may not reflect the rates observed in practice.
Tobramycin inhalation solution was studied in two clinical studies in 258 cystic fibrosis patients ranging in age from 6 to 48 years. Patients received tobramycin inhalation solution in alternating periods of 28 days on and 28 days off drug in addition to their standard cystic fibrosis therapy for a total of 24 weeks. Adverse reactions reported in these studies are described below:
- The most frequent adverse reactions in the tobramycin inhalation arm were cough, pharyngitis, and increased sputum (see Table 1).
- Thirty-three patients (13%) treated with tobramycin inhalation solution complained of voice alteration compared to 17 (7%) placebo patients. Voice alteration was more common in the on-drug periods.
- Eight patients from the tobramycin inhalation solution group (3%) reported tinnitus compared to no placebo patients. All episodes were transient, resolved without discontinuation of the tobramycin inhalation solution treatment regimen, and were not associated with loss of hearing in audiograms.
Table 1 lists the percent of patients with selected adverse reactions that occurred in > 5% of tobramycin inhalation solution patients during the two Phase III studies.
1 Includes reported decreases in pulmonary function tests or decreased lung volume on chest radiograph associated with intercurrent illness or study drug administration. | ||
| Adverse Reaction | Tobramycin Inhalation Solution (n=258) % | Placebo (n=262) % |
| Cough Increased | 46.1 | 47.3 |
| Pharyngitis | 38.0 | 39.3 |
| Sputum Increased | 37.6 | 39.7 |
| Dyspnea | 33.7 | 38.5 |
| Hemoptysis | 19.4 | 23.7 |
| Lung Function Decrease1 | 16.3 | 15.3 |
| Voice Alteration | 12.8 | 6.5 |
| Taste Perversion | 6.6 | 6.9 |
| Rash | 5.4 | 6.1 |
Selected adverse reactions that occurred in less than or equal to 5% of patients treated with tobramycin inhalation solution:
Ear and labyrinth disorders
Tinnitus
Musculoskeletal and connective tissue disorders
Myalgia
Infections and infestations
Laryngitis
6.2 Postmarketing Experience
The following adverse reactions have been identified during post approval use of tobramycin inhalation solution. Because these reactions are reported voluntarily from a population of uncertain size, it is not always possible to reliably estimate their frequency or establish a causal relationship to drug exposure.
Ear and labyrinth disorders
Hearing loss: Some of these reports occurred in patients with previous or concomitant treatment with systemic aminoglycosides. Patients with hearing loss frequently reported tinnitus. [see Warnings and Precautions (5.2)]
Skin and subcutaneous tissue disorders
Hypersensitivity, pruritus, urticaria, rash
Nervous system disorders
Aphonia, dysgeusia
Respiratory, thoracic, and mediastinal disorders
Bronchospasm [see Warnings and Precautions (5.1)], oropharyngeal pain
7.1 Drugs With Neurotoxic, Nephrotoxic Or Ototoxic Potential
Concurrent and/or sequential use of tobramycin inhalation solution with other drugs with neurotoxic, nephrotoxic, or ototoxic potential should be avoided if possible.
7.2 Diuretics
Some diuretics can enhance aminoglycoside toxicity by altering aminoglycoside concentrations in serum and tissue. Tobramycin inhalation solution should not be administered concomitantly with ethacrynic acid, furosemide, urea, or intravenous mannitol.
Other
Risk Summary
Aminoglycosides can cause fetal harm. Published literature reports that use of streptomycin, an aminoglycoside, can cause total, irreversible, bilateral congenital deafness when administered to a pregnant woman [Warnings and Precautions (5.5)]. Although there are no available data on TOBRAMYCIN INHALATION SOLUTION PAK use in pregnant women to inform a drug-associated risk of major birth defects, miscarriage, or adverse maternal or fetal outcomes, systemic absorption of tobramycin following inhaled administration is expected to be minimal [see Clinical Pharmacology (12.3)]. There are risks to the mother associated with cystic fibrosis in pregnancy (see Clinical Considerations).
In animal reproduction studies with subcutaneous administration of tobramycin in pregnant rats and rabbits during organogenesis there were no adverse developmental outcomes; however, ototoxicity was not evaluated in the offspring from these studies (see Data). Advise pregnant women of the potential risk to a fetus.
The estimated background risk of major birth defects and miscarriage for the indicated populations are unknown. All pregnancies have a background risk of birth defect, loss, or other adverse outcomes. In the U.S. general population, the estimated background risk of major birth defects and miscarriage in clinically recognized pregnancies is 2 to 4% and 15 to 20%, respectively.
Clinical Considerations
Disease-Associated Maternal and/or Embryo/Fetal Risk
Cystic fibrosis may increase the risk for preterm delivery.
Data
Animal Data
No reproductive toxicity studies have been conducted with tobramycin inhalation solution. However, subcutaneous administration of tobramycin at doses of up to 100 (rat) or 20 (rabbit) mg/kg/day during organogenesis was not associated with adverse developmental outcomes. Subcutaneous doses of tobramycin ≥40 mg/kg/day were severely maternally toxic to rabbits and precluded the evaluation of adverse developmental outcomes. Ototoxicity was not evaluated in offspring during non-clinical reproductive toxicity studies with tobramycin.
Risk Summary
There are no data on the presence of tobramycin inhalation solution in either human or animal milk, the effects on the breastfed infant, or the effects on milk production. Limited published data on other formulations of tobramycin in lactating women indicate that tobramycin is present in human milk. However, systemic absorption of tobramycin following inhaled administration is expected to be minimal [see Clinical Pharmacology (12.3)]. Tobramycin may cause alteration in the intestinal flora of the breastfeeding infant (see Clinical Considerations). The developmental and health benefits of breastfeeding should be considered along with the mother's clinical need for TOBRAMYCIN INHALATION SOLUTION PAK and any potential adverse effects on the breastfed infant from TOBRAMYCIN INHALATION SOLUTION PAK or from the underlying maternal condition.
Clinical Considerations
Tobramycin may cause intestinal flora alteration. Advise a woman to monitor the breastfed infant for loose or bloody stools and candidiasis (thrush, diaper rash).
Absorption
Tobramycin inhalation solution contains tobramycin, a cationic polar molecule that does not readily cross epithelial membranes. 1 The bioavailability of tobramycin inhalation solution may vary because of individual differences in nebulizer performance and airway pathology.2 Following administration of tobramycin inhalation solution, tobramycin remains concentrated primarily in the airways.
Sputum Concentrations
Ten minutes after inhalation of the first 300 mg dose of tobramycin inhalation solution, the average concentration of tobramycin was 1237 mcg/g (ranging from 35 to 7414 mcg/g) in sputum. Tobramycin does not accumulate in sputum; after 20 weeks of therapy with the tobramycin inhalation solution regimen, the average concentration of tobramycin at ten minutes after inhalation was 1154 mcg/g (ranging from 39 to 8085 mcg/g) in sputum. High variability of tobramycin concentration in sputum was observed. Two hours after inhalation, sputum concentrations declined to approximately 14% of tobramycin levels at ten minutes after inhalation.
Serum Concentrations
The average serum concentration of tobramycin one hour after inhalation of a single 300 mg dose of tobramycin inhalation solution by cystic fibrosis patients was 0.95 mcg/mL. After 20 weeks of therapy on the tobramycin inhalation solution regimen, the average serum tobramycin concentration one hour after dosing was 1.05 mcg/mL.
Distribution
Following administration of tobramycin inhalation solution, tobramycin remains concentrated primarily in the airways. Binding of tobramycin to serum proteins is negligible.
Elimination
Metabolism
Tobramycin is not metabolized.
Excretion
The elimination half-life of tobramycin from serum is approximately 2 hours after intravenous (IV) administration. Assuming tobramycin absorbed following inhalation behaves similarly to tobramycin following IV administration, systemically absorbed tobramycin is eliminated principally by glomerular filtration. Unabsorbed tobramycin, following tobramycin inhalation solution administration, is likely eliminated primarily in expectorated sputum.
Mechanism of Action
Tobramycin is an aminoglycoside antibacterial produced by Streptomyces tenebrarius. It acts primarily by disrupting protein synthesis, leading to altered cell membrane permeability, progressive disruption of the cell envelope, and eventual cell death. 3
Tobramycin has in vitro activity against Gram-negative bacteria including P. aeruginosa. It is bactericidal in vitro at peak concentrations equal to or slightly greater than the minimum inhibitory concentration.
Resistance
Treatment for 6 months with tobramycin inhalation solution in two clinical studies did not affect the susceptibility of the majority of P. aeruginosa isolates tested; however, increased minimum inhibitory concentrations (MICs) were noted in some patients. The clinical significance of this information has not been clearly established in the treatment of P. aeruginosa in cystic fibrosis patients [see Clinical Studies (14)].
Susceptibility Testing
Interpretive criteria for inhaled antibacterial products are not defined. The in vitro antimicrobial susceptibility test methods used for parenteral tobramycin therapy can be used to monitor the susceptibility of P. aeruginosa isolated from cystic fibrosis patients. 4,5,6 If decreased susceptibility is noted, the results should be reported to the clinician. Susceptibility breakpoints established for parenteral administration of tobramycin do not apply to aerosolized administration of tobramycin inhalation solution. The relationship between in vitro susceptibility test results and clinical outcome with tobramycin inhalation solution therapy is not clear. A single sputum sample from a cystic fibrosis patient may contain multiple morphotypes of Pseudomonas aeruginosa and each morphotype may have a different level of in vitro susceptibility to tobramycin.
For specific information regarding susceptibility test interpretive criteria and associated test methods and quality control standards recognized by FDA for this drug, please see: https://www.fda.gov/STIC.
Difficulty Breathing
Advise patients to inform their physicians if they experience shortness of breath or wheezing after administration of tobramycin inhalation solution. Tobramycin inhalation solution can cause a narrowing of the airway [see Warnings and Precautions (5.1)].
Hearing Loss
Advise patients to inform their physician if they experience ringing in the ears, dizziness, or any changes in hearing because tobramycin inhalation solution has been associated with hearing loss [see Warnings and Precautions (5.2)].
Kidney Damage
Advise patients to inform their physician if they have any history of kidney problems because tobramycin inhalation solution is in a class of drugs that have caused kidney damage [see Warnings and Precautions (5.3)].
Embryo-Fetal Toxicity:
Advise pregnant women that aminoglycosides can cause irreversible congenital deafness when administered to a pregnant woman [see Warnings and Precautions (5.5) and Use in Specific Populations (8.1)].
Lactation:
Advise a woman to monitor their breastfed infants for diarrhea and/or bloody stools [see Use in Specific Populations (8.2)].
Additional Information
PARI LC PLUS® Reusable Nebulizer: 1-800-327-8632
DeVilbiss® Pulmo-Aide® Air Compressor: 1-800-338-1988
TOBRAMYCIN INHALATION SOLUTION PAK: 1-877-236-7239
Manufactured by:
Catalent Pharma Solutions, LLC Woodstock, IL 60098
Distributed by: Genericus, Inc.
Glen Allen, 23060 VA
899D9999 Rev. B 11/2019
© 2016-2019 Genericus, Inc. All rights reserved.
8.4 Pediatric Use
The safety and efficacy of tobramycin inhalation solution have not been studied in pediatric patients under 6 years of age.
8.5 Geriatric Use
Clinical studies of tobramycin inhalation solution did not include patients aged 65 years and over. Tobramycin is known to be substantially excreted by the kidney, and the risk of adverse reactions to this drug may be greater in patients with impaired renal function. Because elderly patients are more likely to have decreased renal function, it may be useful to monitor renal function [see Warnings and Precautions (5.3)].
10 Overdosage
Signs and symptoms of acute toxicity from overdosage of IV tobramycin might include dizziness, tinnitus, vertigo, loss of high-tone hearing acuity, respiratory failure, and neuromuscular blockade. Administration by inhalation results in low systemic bioavailability of tobramycin. Tobramycin is not significantly absorbed following oral administration. Tobramycin serum concentrations may be helpful in monitoring overdosage.
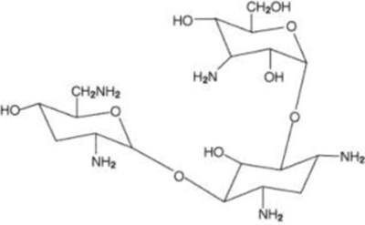
11 Description
TOBRAMYCIN INHALATION SOLUTION PAK contains tobramycin inhalation solution, USP and the PARI LC PLUS Reusable Nebulizer (PARI LC PLUS). Tobramycin inhalation solution is a sterile, clear, slightly yellow, non-pyrogenic, aqueous solution with the pH and salinity adjusted specifically for administration by a compressed air driven PARI LC PLUS Reusable Nebulizer. The chemical formula for tobramycin is C H N O and the molecular weight is 467.52. Tobramycin is O-3-amino-3-deoxy-α-D-glucopyranosyl-(1→4)-O-[2,6-diamino-2,3,6-trideoxy-a-D-ribo - hexopyranosyl-(1→6)]-2-deoxy-L-streptamine. The structural formula for tobramycin is:
Each single-use 5 mL ampule contains 300 mg tobramycin and 11.25 mg sodium chloride in sterile water for injection. Sulfuric acid and sodium hydroxide are added to adjust the pH to 6.0. Nitrogen is used for sparging. The formulation contains no preservatives. The inhalation solution has an osmolality in the range 135 to 200 mOsmol/kg.
The PARI LC PLUS Reusable Nebulizer has the following performance characteristics with tobramycin inhalation solution [measured using Next Generation Impactor (NGI) at 15 L/min continuous flow, standard conditions (50%RH, 23°C)]: (1) Delivered Dose: 174 mg; (2) Fine Particle Dose (< 5μm): 97 mg; (3) Nebulization Time: 13 min.; (4) Mass Median Aerodynamic Diameter: 4.3 μm; (5) Geometric Standard Deviation (GSD): 2.2 μm.
12.1 Mechanism Of Action
Tobramycin is an aminoglycoside antibacterial [see Microbiology (12.4)].
13.1 Carcinogenesis, Mutagenesis, Impairment Of Fertility
A two-year rat inhalation toxicology study to assess carcinogenic potential of tobramycin inhalation solution has been completed. Rats were exposed to tobramycin inhalation solution for up to 1.5 hours per day for 95 weeks. The clinical formulation of the drug was used for this carcinogenicity study. Serum levels of tobramycin of up to 35 mcg/mL were measured in rats, in contrast to the average 1 mcg/mL levels observed in cystic fibrosis patients in clinical trials. There was no drug-related increase in the incidence of any variety of tumor.
Additionally, tobramycin has been evaluated for genotoxicity in a battery of in vitro and in vivo tests. The Ames bacterial reversion test, conducted with 5 tester strains, failed to show a significant increase in revertants with or without metabolic activation in all strains. Tobramycin was negative in the mouse lymphoma forward mutation assay, did not induce chromosomal aberrations in Chinese hamster ovary cells, and was negative in the mouse micronucleus test.
Subcutaneous administration of up to 100 mg/kg of tobramycin did not affect mating behavior or cause impairment of fertility in male or female rats.
14 Clinical Studies
Two identically designed, double-blind, randomized, placebo-controlled, parallel group, 24-week clinical studies (Study 1 and Study 2) at a total of 69 cystic fibrosis centers in the United States were conducted in cystic fibrosis patients with P. aeruginosa with tobramycin inhalation solution. Subjects who were less than 6 years of age, had a baseline creatinine of > 2 mg/dL, or had B. cepacia isolated from sputum were excluded. All subjects had baseline FEV1% predicted between 25% and 75%. In these clinical studies, 258 patients received tobramycin inhalation solution therapy on an outpatient basis (see Table 2) using a PARI LC PLUS nebulizer along with a DeVilbiss Pulmo-Aide compressor.
| Cycle 1 | Cycle 2 | Cycle 3 | ||||
| 28 days | 28 days | 28 days | 28 days | 28 days | 28 days | |
| TOBRAMYCIN Inhalation Solution regimen n=258 | TOBRAMYCIN Inhalation Solution 300 mg twice daily | No drug | TOBRAMYCIN Inhalation Solution 300 mg twice daily | No drug | TOBRAMYCIN Inhalation Solution 300 mg twice daily | No drug |
| Placebo regimen n=262 | Placebo twice daily | Placebo twice daily | Placebo twice daily | |||
All patients received either tobramycin inhalation solution or placebo (saline with 1.25 mg quinine for flavoring) in addition to standard treatment recommended for cystic fibrosis patients, which included oral and parenteral anti-pseudomonal therapy, Beta 2-agonists, cromolyn, inhaled steroids, and airway clearance techniques. In addition, approximately 77% of patients were concurrently treated with dornase alfa.
In each study, tobramycin inhalation solution-treated patients experienced significant improvement in pulmonary function. Improvement was demonstrated in the tobramycin inhalation solution group in Study 1 by an average increase in FEV1% predicted of about 11% relative to baseline (Week 0) during 24 weeks compared to no average change in placebo patients. In Study 2, tobramycin inhalation solution-treated patients had an average increase of about 7% compared to an average decrease of about 1% in placebo patients. Figure 1 shows the average relative change in FEV1% predicted over 24 weeks for both studies.
Figure 1: Relative Change From Baseline in FEV1% Predicted
In each study, tobramycin inhalation solution therapy resulted in a significant reduction in the number of P. aeruginosa colony forming units (CFUs) in sputum during the on-drug periods. Sputum bacterial density returned to baseline during the off-drug periods. Reductions in sputum bacterial density were smaller in each successive cycle. (see Figure 2).
Figure 2: Absolute Change From Baseline in Log10 CFUs
Patients treated with tobramycin inhalation solution were hospitalized for an average of 5.1 days compared to 8.1 days for placebo patients. Patients treated with tobramycin inhalation solution required an average of 9.6 days of parenteral anti-pseudomonal antibiotic treatment compared to 14.1 days for placebo patients. During the 6 months of treatment, 40% of tobramycin inhalation solution patients and 53% of placebo patients were treated with parenteral anti-pseudomonal antibiotics.
The relationship between in vitro susceptibility test results and clinical outcome with tobramycin inhalation solution therapy is not clear. However, 4 tobramycin inhalation solution patients who began the clinical trial with P. aeruginosa isolates having MIC values ≥ 128 μg/mL did not experience an improvement in FEV1 or a decrease in sputum bacterial density.
15 References
- Neu HC. Tobramycin: an overview. [Review]. J Infect Dis 1976; Suppl 134:S3-19.
- Weber A, Smith A, Williams-Warren J et al. Nebulizer delivery of tobramycin to the lower respiratory tract. Pediatr Pulmonol 1994; 17 (5):331-9.
- Bryan LE. Aminoglycoside resistance. Bryan LE, Ed. Antimicrobial drug resistance. Orlando, FL: Academic Press, 1984: 241-77.
- Clinical and Laboratory Standards Institute (CLSI). Methods for Dilution Antimicrobial Susceptibility Tests for Bacteria that Grow Aerobically; Approved Standard - Ninth Edition. CLSI document M07-A9, Clinical and Laboratory Standards Institute, 950 West Valley Road, Suite 2500, Wayne, Pennsylvania 19087, USA, 2012.
- Clinical and Laboratory Standards Institute (CLSI). Performance Standards for Antimicrobial Disk Diffusion Susceptibility Tests; Approved Standard – Eleventh Edition. CLSI document M02-A11, Clinical and Laboratory Standards Institute, 950 West Valley Road, Suite 2500, Wayne, Pennsylvania 19087, USA, 2012.
- Clinical and Laboratory Standards Institute (CLSI). Performance Standards for Antimicrobial Susceptibility Testing; Twenty-fourth Informational Supplement, CLSI document M100-S24, Clinical and Laboratory Standards Institute, 950 West Valley Road, Suite 2500, Wayne, Pennsylvania 19087, USA, 2014.
16.1 How Supplied
TOBRAMYCIN INHALATION SOLUTION PAK co-packaged kit (NDC 70644-899-99) is available in cartons containing one reusable PARI LC PLUS nebulizer (Model No.: 022B81-TA) and 14 tobramycin inhalation solution pouches. Each pouch contains four 300 mg/5 ml ampules of tobramycin inhalation solution for a total of 56 ampules in each carton. Each carton constitutes a 28 day supply.
16.2 Storage
- Tobramycin inhalation solution should be stored under refrigeration at 2-8°C/36-46°F. Upon removal from the refrigerator, or if refrigeration is unavailable, tobramycin inhalation solution pouches (opened or unopened) may be stored at room temperature (up to 25°C/77°F) for up to 28 days. Tobramycin inhalation solution should not be used beyond the expiration date stamped on the ampule when stored under refrigeration (2-8°C/36-46°F) or beyond 28 days when stored at room temperature (25°C/77°F).
- Tobramycin inhalation solution ampules should not be exposed to intense light. The solution in the ampule is slightly yellow, but may darken with age if not stored in the refrigerator; however, the color change does not indicate any change in the quality of the product as long as it is stored within the recommended storage conditions.
17 Patient Counseling Information
Advise the patient to read the FDA-approved patient labeling (Patient Information and Instructions for Use).
Instructions for Administration
Instruct patients to read the Instructions for Use before starting TOBRAMYCIN INHALATION SOLUTION PAK. Instruct patients to use the tobramycin inhalation solution in TOBRAMYCIN INHALATION SOLUTION PAK only with the PARI LC PLUS Reusable Nebulizer included in the TOBRAMYCIN INHALATION SOLUTION PAK.
Spl Patient Package Insert
| PATIENT INFORMATION TOBRAMYCIN INHALATION SOLUTION PAK (tobramycin inhalation solution) for oral inhalation | ||
| Read this Patient Information before you start using TOBRAMYCIN INHALATION SOLUTION PAK and each time you get a refill. There may be new information. This information does not take the place of talking with your healthcare provider about your medical condition or your treatment. | ||
| What is TOBRAMYCIN INHALATION SOLUTION PAK? TOBRAMYCIN INHALATION SOLUTION PAK contains a prescription medicine and a PARI LC PLUS Reusable Nebulizer used to treat adults and children 6 years of age and older with cystic fibrosis who have a bacterial infection called Pseudomonas aeruginosa. TOBRAMYCIN INHALATION SOLUTION PAK contains an antibacterial medicine called tobramycin (an aminoglycoside). It is not known if tobramycin inhalation solution is safe and effective:
| ||
| Who should not use TOBRAMYCIN INHALATION SOLUTION PAK? Do not use TOBRAMYCIN INHALATION SOLUTION PAK if you are allergic to tobramycin, any of the ingredients in TOBRAMYCIN INHALATION SOLUTION PAK, or to any other aminoglycoside antibacterial medicine. | ||
| What should I tell my healthcare provider before using TOBRAMYCIN INHALATION SOLUTION PAK? Before using TOBRAMYCIN INHALATION SOLUTION PAK, tell your healthcare provider about all of your medical conditions, including if you:
| ||
| Tell your healthcare provider about all the medicines you take, including prescription and over-the-counter, vitamins, and herbal supplements. Using TOBRAMYCIN INHALATION SOLUTION PAK with certain other medicines can cause serious side effects. Ask your healthcare provider or pharmacist for a list of these medicines, if you are not sure. Know the medicines you take. Keep a list of them and show it to your healthcare provider and pharmacist when you get a new medicine. If you are using TOBRAMYCIN INHALATION SOLUTION PAK, you should discuss with your healthcare provider if you should take:
| ||
How should I use TOBRAMYCIN INHALATION SOLUTION PAK?
| ||
What are the possible side effects of TOBRAMYCIN INHALATION SOLUTION PAK?
| ||
| The most common side effects of TOBRAMYCIN INHALATION SOLUTION PAK include: | ||
|
|
|
| These are not all of the possible side effects of TOBRAMYCIN INHALATION SOLUTION PAK. Call your doctor for medical advice about side effects. You may report side effects to FDA at 1-800-FDA-1088. | ||
| General information about the safe and effective use of TOBRAMYCIN INHALATION SOLUTION PAK. Medicines are sometimes prescribed for purposes other than those listed in a patient information leaflet. Do not use TOBRAMYCIN INHALATION SOLUTION PAK for a condition for which it was not prescribed. Do not give TOBRAMYCIN INHALATION SOLUTION PAK to other people, even if they have the same symptoms that you have. It may harm them. You can ask your healthcare provider or pharmacist for information about TOBRAMYCIN INHALATION SOLUTION PAK that is written for health professionals. | ||
| What are the ingredients in TOBRAMYCIN INHALATION SOLUTION PAK? Active ingredient: tobramycin Inactive ingredients: sodium chloride in sterile water, sulfuric acid, and sodium hydroxide (for pH adjustment) | ||
Instructions For Use
INSTRUCTIONS FOR USE
TOBRAMYCIN INHALATION SOLUTION PAK
(tobramycin inhalation solution), for oral inhalation
Follow the instructions below for using TOBRAMYCIN INHALATION SOLUTION PAK which contains tobramycin inhalation solution and the PARI LC PLUS Reusable Nebulizer (PARI LC PLUS). If you have any questions, ask your healthcare provider or pharmacist.
Each TOBRAMYCIN INHALATION SOLUTION PAK carton (28-day supply) contains 56 tobramycin inhalation solution ampules packed in 14 foil pouches that each contain 4 single- use tobramycin inhalation solution ampules.
You will need the following supplies (See Figure A):
- 1 tobramycin inhalation solution ampule
- PARI LC PLUS Reusable Nebulizer
- DeVilbiss Pulmo-Aide (Pulmo-Aide) air compressor
- tubing to connect the nebulizer and compressor
- clean, lint-free towel
- nose clip (optional, not pictured)
- Open the PARI LC PLUS package. Place the PARI LC PLUS parts including Top and Bottom (Nebulizer Cup) Assembly, Inspiratory Valve Cap, Mouthpiece with Valve, and Tubing on a clean, dry surface or towel (See Figure B).
- Do not squeeze the ampule until you are ready to squeeze all of the medicine into the Nebulizer Cup.
- Nose clips may help you breathe only through your mouth and not through your nose.
- Store tobramycin inhalation solution in the refrigerator between 36°F to 46°F (2°C to 8°C) until needed.
- You may store the tobramycin inhalation solution in the foil pouches (opened or unopened) at room temperature between 68°F to 77°F (20°C to 25°C) for up to 28 days.
- Do not use tobramycin inhalation solution after the expiration date stamped on the ampule.
- Keep tobramycin inhalation solution in the foil pouch and out of the light.
- Tobramycin inhalation solution is normally slightly yellow, but may get darker with age if unrefrigerated. The color change does not change how the medicine works.
- Do not use tobramycin inhalation solution if it is cloudy, has particles in the solution, or if it has been stored at room temperature for more than 28 days. Throw the applicable ampule(s) away in your household trash and get a new ampule.
Note: Read the Instructions for Use that come with your PARI LC PLUS Reusable Nebulizer and DeVilbiss Pulmo-Aide air compressor for detailed instructions on how to use and care for your nebulizer and air compressor before you use it.
Do not mix the medicine in TOBRAMYCIN INHALATION SOLUTION PAK with other medicines in your nebulizer.
The medicine in TOBRAMYCIN INHALATION SOLUTION PAK (tobramycin inhalation solution) comes in a sealed foil pouch. Do not open a sealed pouch until you are ready to use a dose. After opening the pouch, unopened ampules should be returned to and stored in the pouch.
Getting ready:
Preparing your TOBRAMYCIN INHALATION SOLUTION PAK dose:
Step 1: Wash your hands with soap and water (See Figure C).
Step 2: Open the foil pouch (See Figure D).
Step 3: Separate 1 ampule by gently pulling apart starting at the top of the ampules and continue down to the bottom tabs (See Figure E) and use it right away.
Step 4: Hold the bottom tab on the TOBRAMYCIN INHALATION SOLUTION PAK ampule with 1 hand (See Figure F). With your other hand, hold the top of the ampule and twist off the top of the ampule (See Figure F).
Step 5: Hold the Nebulizer Cup and twist off the Nebulizer Insert or Top in a counter-clockwise direction (See Figure G). Set the Top aside on a clean, dry, surface.
Step 6: Squeeze all the medicine from the ampule into the Nebulizer Cup (See Figure H).
Step 7: Replace the Nebulizer Insert. Line up the semi-circle on the Nebulizer Insert with the Nebulizer Outlet and twist on the Nebulizer Insert in a clockwise direction until it is tight and the alignment rings are lined up (See Figure I).
Step 8: Push the Mouthpiece straight onto the Nebulizer Cup (See Figure J).
Step 9: Firmly push the Inspiratory Valve Cap straight down onto the Nebulizer Cup Top (See Figure K). The Inspiratory Valve Cap should fit tightly.
Step 10: Connect 1 end of the tubing to the compressor air outlet (See Figure L). The tubing should fit tightly.
Step 11: Plug your compressor into an electrical outlet (See Figure M).
Step 12: Hold the Nebulizer Cup upright and firmly push the free end of the tubing straight up onto the Air Intake on the bottom of the Nebulizer Cup (See Figure N). Make sure to keep the Nebulizer Cup upright.
Giving your TOBRAMYCIN INHALATION SOLUTION PAK dose:
Step 13: Turn on the compressor (See Figure O). You should see a steady mist coming from the Mouthpiece (See Figure P).
Step 14: Sit or stand in a comfortable, upright position that will allow you to breathe normally. Place the Mouthpiece between your teeth and on top of your tongue and breathe normally only through your mouth (See Figure Q).
Step 15: Keep breathing in your TOBRAMYCIN INHALATION SOLUTION PAK dose for at least 15 minutes. You will know that you have received your full dose of medicine when you hear a “sputtering noise” coming from the Mouthpiece for at least 1 minute and the Nebulizer Cup is empty.
After your TOBRAMYCIN INHALATION SOLUTION PAK dose:
Step 16: Clean and disinfect your nebulizer (see manufacturer's Instructions for Use).
Care and Use of your DeVilbiss Pulmo-Aide compressor:
Follow the manufacturer's instructions for care and use of your compressor.
How should I store TOBRAMYCIN INHALATION SOLUTION PAK?
Keep TOBRAMYCIN INHALATION SOLUTION PAK and all medicines out of the reach of children.
This Patient Information and Instructions for Use have been approved by the U.S. Food and Drug Administration. Revised: DATE
Additional Information
PARI LC PLUS® Reusable Nebulizer: 1-800-327-8632
DeVilbiss® Pulmo-Aide® Air Compressor: 1-800-338-1988
TOBRAMYCIN INHALATION SOLUTION PAK: 1-877-236-7239
Manufactured by:
Catalent Pharma Solutions, LLC Woodstock, IL 60098
Distributed by: Genericus, Inc., Glen Allen, 23060 VA
899D9999 Rev. B 11/2019
© 2016-2019 PulmoFlow, Inc. All rights reserved.
Principal Display Panel - Tobramycin Inhalation Solution Pak
NDC 70644-899-99
Genericus
Tobramycin Inhalation Solution Pak
300 mg/5 mL Ampules
56 Single-Use Ampules of Tobramycin Inhalation Solution, USP
co-packaged with 1 PARI LC PLUS® Reusable Nebulizer Set
For more information, call 1-877-236-7239
Store in Refrigerator
Includes One PARI LC PLUS Nebulizer Set
Rx only
* Please review the disclaimer below.




